Analysemerkmale
Verweis
White, F.M., “Fluid Mechanics”, McGraw-Hill, New York, 1979, S. 305-360
Idelchik, I.E., “Handbook of Hydraulic Resistance”, CRC Press, 1994, S. 523
Problembeschreibung
Luft strömt durch einen dreidimensionalen Kanal mit Gleitwänden und einem Filter (oder einem anderen Strömungshindernis) in der Mitte des Kanals. Der Druckverlust entlang des Kanals wird aufgrund der Gleiteigenschaften der Wände allein durch das Hindernis verursacht.

Es werden alle vier Strömungswiderstandsmodelle getestet:
1. Konstanter K-Faktor:
K = 1.97748
Bei dem angegebenen Druckverlust sollte dieser K-Faktor einen Durchfluss von 0.2 m3/s bewirken.
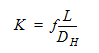
2. Rohrreibungsverlust:

wobei
der Reibungskoeffizient ist, für den eine Blasius-Formel verwendet wird. L = 41.99 ist die darzustellende Rohrlänge, und DH = 0.2 definiert den hydraulischen Durchmesser des Rohrs. Die Blasius-Formel zur Bestimmung des Reibungsfaktors lautet:

wobei a = 0.316 und b = 0.25 gilt. Diese Werte sollten in einem entsprechenden K-Faktor von 1.97748 resultieren. Damit können wir einen Durchfluss von 0.2 m³/s erwarten..
3. Freier Flächenanteil
Für diesen Widerstandstyp verwenden Sie die Formel auf Seite 516 in Idelchik:

Dabei steht FAR für den freien Flächenanteil. Bei einem freien Flächenanteil von 0.62 ergibt sich ein K-Faktor von 1.9774 und damit ein Durchfluss von 0.2 m³/s.
4. K-Faktor gemäß Druckverlusttabelle:
Es wird folgende Wertetabelle verwendet:
| Durchfluss (m3/sec) | Druckhöhe (Pa) |
| 0.15 | 35000 |
| 0.25 | 45000 |
Geometrie und Randbedingungen

Ergebnisse
| Typ des Strömungswiderstands | Benchmark | 2018: Build 20170308 | % Fehler | 2019: Build 20180130 | % Fehler |
| Konstante K | 0.2 m3/s | 0.1997 | 0.143 | 0.1961 | 1.95 |
| Rohrreibungsverlust | 0.2 m3/s | 0.2171 | 8.569 | 0.1982 | .896 |
| Freier Flächenanteil | 0.2 m3/s | 0.1997 | 0.143 | 0.1961 | 1.95 |
| Druckverlusttabelle | 0.2 m3/s | 0.1979 | 1.0475 | 0.1999 | .004 |