Die zugrunde liegenden Gleichungen für Fluidströmung und Wärmeübertragung sind die Navier-Stokes- oder Impulsgleichungen und der erste Hauptsatz der Thermodynamik oder die Energiegleichung. Die zugrunde liegenden partiellen Differentialgleichungen können wie folgt geschrieben werden:
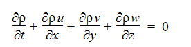
Kontinuitätsgleichung:

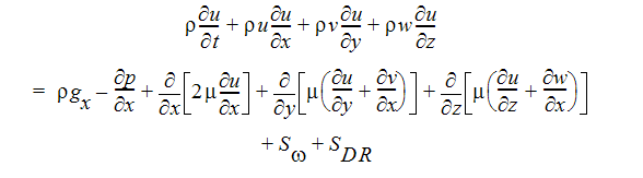
Gleichung für X-Moment:

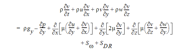
Gleichung für Y-Moment:

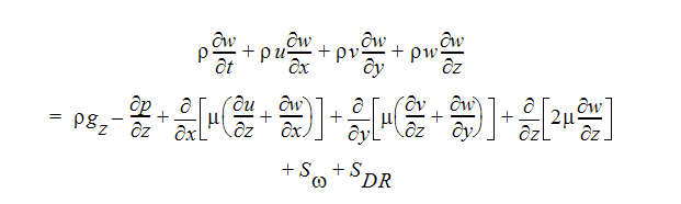
Gleichung für Z-Moment:

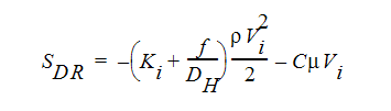
Die beiden Quellterme in den Impulsgleichungen dienen zum Drehen von Koordinaten bzw. Strömungswiderständen. Der Strömungswiderstandsterm kann im Allgemeinen wie folgt geschrieben werden:

Hierbei bezieht sich i auf die globale Koordinatenrichtung (Gleichung für U-, V-, W-Moment); die anderen Terme werden im vorherigen Abschnitt beschrieben. Beachten Sie, dass der K-Faktor-Term nur für eine einzelne Impulsgleichung verwendet werden kann, da jede Richtung ihren eigenen K-Faktor hat. Die anderen beiden Widerstandstypen wirken sich gleichermaßen auf alle Impulsgleichungen aus.
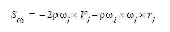
Der andere Quellterm wird zum Drehen der Strömung verwendet. Dieser Term kann im Allgemeinen wie folgt geschrieben werden:

wobei i sich auf die globale Koordinatenrichtung bezieht,
die Drehgeschwindigkeit und r der Abstand von der Drehachse ist.
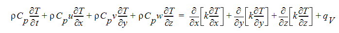
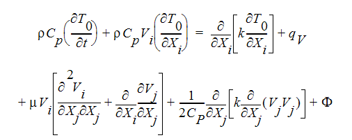
Für nicht kompressible und kompressible Unterschallströmungen wird die Energiegleichung bezogen auf die statische Temperatur geschrieben:

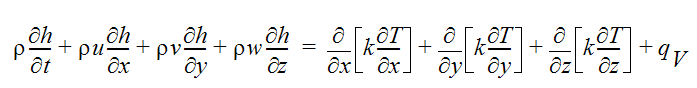
Für mehrphasige Strömungen wie beispielsweise Dampf/Wasser wird die Energiegleichung bezogen auf die Enthalpie geschrieben:

Vor Version 9.0 von CFdesign wurden Luftfeuchtigkeitsberechnungen mit einer enthalpiebasierten Formulierung durchgeführt. In diesem Fall stellt die Enthalpie des Fluids die Energie sowohl der Feuchtigkeit (entweder in ihrem dampfartigen oder flüssigen Zustand) als auch der Luft oder des Trägergases dar. In nachfolgenden Versionen wird jedoch eine temperaturbasierte Formulierung für feuchte Gasströme mit einer speziellen Behandlung der spezifischen Wärme verwendet, um die Phasenänderung auszugleichen.
Für mehrphasige Wasserströmungen ist die Enthalpie die Energie sowohl der Dampf- als auch der Flüssigphasen.
Bei kompressiblen Strömungen wird die Energiegleichung bezogen auf die Gesamttemperatur geschrieben:

wobei
die Dissipationsfunktion ist. Beachten Sie, dass die Einstein-Tensornotation prägnanterweise für die Gesamtenergiegleichung verwendet wird. Die letzten drei Terme sind nur bei kompressiblen Strömungen vorhanden.
Die Variablen in diesen Gleichungen werden in der folgenden Tabelle definiert:
| Variabel | Beschreibung |
| Cp | Konstante druckspezifische Wärme |
| gx, gy, gz | Gravitationsbeschleunigung in X-, Y- und Z-Richtung |
| h | Enthalpie |
| k | Wärmeleitfähigkeit |
| p | Druck |
| qV | Volumetrische Wärmequelle |
| T | Temperatur |
| t | Zeit |
| u | Geschwindigkeitskomponente in X-Richtung |
| v | Geschwindigkeitskomponente in Y-Richtung |
| w | Geschwindigkeitskomponente in Z-Richtung |
![]() | Viskosität |
![]() | Dichte |
Die Kontinuitäts-, Moment- und Energiegleichungen stellen 5 Gleichungen in den 5 Unbekannten dar: u, v, w, p, T oder To. Sie beschreiben die Fluidströmung und Wärmeübertragung unter stationären Bedingungen für kartesische Geometrien.
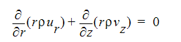
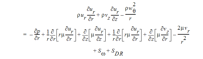
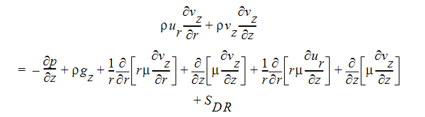
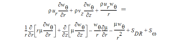
Bei axialsymmetrischen Geometrien und stationären Bedingungen mit Wirbelgeschwindigkeitsanteil (Anteil außerhalb der Ebene) können diese Gleichungen wie folgt geschrieben werden:
Kontinuitätsgleichung:

Gleichung für R-Moment:

Gleichung für Z-Moment:

Gleichung für Wirbelgeschwindigkeit:

Die Energiegleichungen haben keine weiteren Terme für axialsymmetrische Strömungen.