Das kompakte thermische Modell mit zwei Widerständen besteht aus drei Super-Knoten: der Trennebene, dem Gehäuse und der Leiterplatte. Die Trennebene wird auch als Form oder Chip bezeichnet. Das Gehäuse ist die Oberseite des Pakets. Auf ihm kann ein Kühlkörper montiert werden. Der Leiterplattenknoten ist durch einen Wärmewiderstand () zwischen der Leiterplatte und der Trennebene oder dem Chip verbunden. Das Gehäuse ist durch einen Wärmewiderstand () zwischen dem Gehäuse und der Trennebene verbunden. Wärmeübertragung zu/von der Trennebene kann nur durch diese zwei Verbindungen erfolgen.
In Autodesk® CFD ist die Trennebene ein einziger finiter Elementknoten. Die Verbindungen der Leiterplatte und des Gehäuses mit diesem einzigen Knoten können jedoch viele finite Elementknoten enthalten, entsprechend der Netzgrößen, die für die Flächen, die die Komponente mit zwei Widerständen umgeben, verwendet wurden. Um die vielen Knoten dazu zu zwingen, den Effekt eines Knotens zu simulieren, wird eine hohe Wärmeleitfähigkeit verwendet.
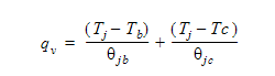
Um einen einzigen Knoten der Trennebene mit einem anderen finiten Elementknoten zu verbinden, erfolgt ein Energiegleichgewicht an der Trennebene gemäß folgender Gleichung:

Diese Gleichung wird aufgesetzt und in die Lösungsmatrix der Energiegleichung eingebaut, die die oben beschriebene diskretisierte Energiegleichung enthält, und automatisch von Autodesk® CFD berechnet.