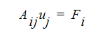
Für transiente Analysen werden die transienten Parameter mittels einer impliziten oder Rückwärtsdifferenzmethode diskretisiert. Mithilfe der Matrix-Algebra-Schreibung kann eine typische stationäre Transportgleichung (Impuls-, Energie-, Turbulenzvariablen, Skalar) wie folgt geschrieben werden:

wobei A*ij* die diskretisierten Advektions- und Diffusionsparameter aus den zugrunde liegenden Gleichungen enthält, *uj* der Lösungsvektor ist bzw. die Werte der abhängigen Variablen (u, v, w, T, K,...) sind und *Fi***die Quellparameter enthält.
Die transienten Parameter der zugrunde liegenden Gleichungen nahmen folgende Form an:

wobei
die abhängige Variable (u, v, w,...) darstellt. Dieser Ausdruck wird mit einer Rückwärtsdifferenz diskretisiert:

Dieser Ausdruck kann obiger Matrixgleichung hinzugefügt werden:

wobei B*ii*** eine diagonale Matrix aus Ausdrücken wie folgenden ist:

Diese diskretisierten transienten Gleichungen müssen iterativ bei jedem Zeitschritt gelöst werden, um alle neuen Variablen (variable Werte zur neuesten Zeit) zu bestimmen.