Die externe kompressible Strömung kann in zwei Kategorien unterteilt werden:
Im Gegensatz zu internen Strömungen handelt es sich bei diesen beiden Typen um Strömungen, die über und um ein Bauteil (und nicht durch es hindurch) fließen. Beispiele hierfür sind Strömungen auf Tragflächen, Flugkörpern oder Triebwerksgondeln.
Die Strategien zur Lösung von Analysen im Freien und im Windkanal unterscheiden sich geringfügig hinsichtlich der Domänengröße und der typischen Einlassbedingung.
Für Anwendungen im Freien ist die Lösungsdomäne nicht als Teil des Modells definiert (im Gegensatz zu einem Windkanal). Es gibt einige einfache Richtlinien, die die Größe der Domäne auf Grundlage der Bemaßungen des Bauteils beeinflussen. Diese dienen lediglich zur Orientierung und können je nach den vorliegenden Bedingungen leicht variieren.


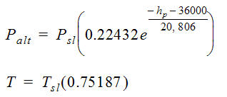
-1000 Fuß < hp < 36,000 Fuß:

hp = Höhe in Fuß
Palt = statischer Druck auf Höhe
Talt = statische Temperatur auf Höhe
Psl = Druck auf Meereshöhe
Tsl = Temperatur auf Meereshöhe
36,000 Fuß < hp < 65,000 Fuß:

Wenn keine Lösung für die Wärmeübertragung gesucht wird, geben Sie die Gesamttemperatur im Aufgabendialogfeld "Start" an. Die Gesamttemperatur wird mithilfe folgender Gleichung berechnet:

Die Zufuhr zum Einlass erfolgt in der Regel von einem Entspannungsbehälter.
Einlass: Geben Sie den Gesamtdruck (Pt) an. (Der Gesamtdruck entspricht dem statischen Druck der unbeweglichen Luft innerhalb des Tanks). Wenn die Geschwindigkeit bekannt ist, geben Sie sie ebenfalls an.
Auslass: Geben Sie den statischen Druck (P = 0) an.
Legen Sie den Umgebungsdruck als Umgebungsdruck im Windkanal fest:
Geben Sie für die Wärmeübertragung die Gesamttemperatur am Einlass an.
Wenn das Objekt einen Angriffswinkel relativ zur Strömungsrichtung aufweist, sollte eher die Berechnungsdomäne als das Objekt neu ausgerichtet werden. Die Domänenausrichtung sollte so ausfallen, dass die freie Strömungsgeschwindigkeit und die Domänenseiten parallel verlaufen:

Wählen Sie in allen Fällen im Dialogfeld Umgebung die Option Variabel aus:
Die folgenden Vorgehensweisen werden zur Verbesserung der Präzision bei Berechnungen durch Ziehen empfohlen:
Der Bereich um das Objekt herum muss mit einem sehr feinen Netz vernetzt werden. Für stromlinienförmigere Körper muss das Netz in der Nähe des Stagnationspunkts des Körpers stark verfeinert ausfallen, um den schnell veränderlichen Koeffizienten des Drucks zu erfassen.
Rufen Sie das Turbulenzmodell SST K-Omega auf:
Geben Sie im Dialogfeld Wandschichten mindestens zehn Schichten an:
Rufen Sie das Advektionsschema ADV5 auf:
Aktivieren Sie Netzadaption. Mit dieser Option wird das Netz im Verlauf von mehreren Iterationen der Simulation schrittweise verfeinert. Das Ergebnis ist eine netzunabhängige Lösung. Beachten Sie, dass diese Option sehr rechenintensiv sein und länger als eine einfache Ausführung des Netzes dauern kann.
Verwandte Themen