Este sistema de armadura se divide en dos zonas.
Red inferior
La armadura que pertenece a este grupo se distribuye directamente sobre la armadura principal en la siguiente sección.
0.4h si h ≤ l
0.4*l si h > l
Si la armadura principal inferior se distribuye en la zona a una altura = 0.15*h o 0.15*l, el alcance de la armadura horizontal se limita desde arriba y es igual a 0.55*h o 0.55*l.
Símbolos:
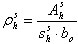
Ahi: sección transversal de la armadura horizontal dentro de la capa.
shi: separación de las armaduras.
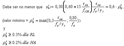
El porcentaje de armaduras horizontales igual a
.
Además, se debe verificar la siguiente condición.
, la armadura debe distribuirse a lo largo de toda la longitud del tramo
, una parte de la armadura cuya cantidad mínima es igual a
se distribuye a lo largo de toda la longitud del tramo, mientras que la parte restante de la armadura (en forma de armaduras intercaladas) se distribuye en la zona de apoyo cercana (dentro de la zona inferior), a lo largo de la longitud de 0,3*lo (desde la longitud del apoyo). Red superior
Esta armadura se distribuye a lo largo de toda la longitud del tramo de acuerdo con lo siguiente.
Símbolos:
Ahs: sección transversal de la armadura horizontal dentro de las capas.
shs: tramo de armadura.
El porcentaje de armaduras horizontales es igual a

En el caso de que h > l, aplique la armadura distribuida uniformemente en la zona entre l y 1.5*l. El porcentaje de esta armadura debe ser menor que max(0.5*rhs; rhs(min)).