Espesor nominal

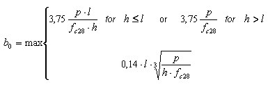
El espesor nominal de una viga de gran canto debe ser igual a lo siguiente:

Si una viga de gran canto está lo suficientemente rigidizada longitudinalmente en la zona superior y la inferior (los elementos rigidizadores alcanzan los apoyos), la primera condición debe cubrir además la verificación de la siguiente relación:

(p/h*fc28).