Description
The ELSTRESS Case Control command requests element stress output.
Format
ELSTRESS
Example
ELSTRESS
Stresses are written at a single point for each element for solid elements. The top and bottom stress values are written for shell elements. Strains are written for a single point for each ply for composite shell elements.
This command will output all stress tensor components, the von Mises stress, and pressure for all elements.
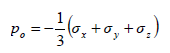
For solid elements, the mean pressure is defined as:

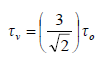
For solid elements the von Mises equivalent stress is defined as:

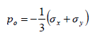
Shell elements are defined by a state of plane stress. The mean pressure is:

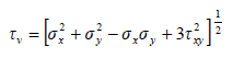
The von Mises stress for shell elements is:
