Répartition des efforts dans les soudures dus à une charge parallèle sur la membrure

Répartition des efforts dans les soudures dus à une charge perpendiculaire sur la membrure

Répartition des contraintes dans les soudures longitudinales

Répartition des contraintes dans les soudures transversales



Formules de calcul des contraintes résultantes dans les soudures (longitudinal 1, longitudinal 2, transversal intérieur 3, transversal extérieur 4)

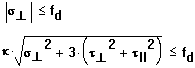
Condition de résistance :
Eurocode :

PN :
