Cette option permet l’analyse détaillée des barres bois. L’analyse détaillée de la barre est lancée après un clic sur le bouton Détaillé disponible dans la boîte de dialogue Résultats détaillés pour la norme EC5.
Le logiciel permet d’effectuer les calculs supplémentaires à partir des exigences décrites dans la norme EUROCODE 5 :
Le logiciel permet d’effectuer les calculs supplémentaires à partir des exigences décrites dans la norme EUROCODE 5 :
Chaque analyse énumérée est effectuée de façon indépendante et, de ce fait, chacune d’elles peut être lancée séparément.
La boîte de dialogue comprend trois onglets :
Il est possible de définir la charge transversale sur la longueur de la poutre. Après la définition du coefficient Kc,90, le logiciel vérifie la valeur de la contrainte pour la compression transversale (voir EC5 5.1.5).
Il est possible de définir les ouvertures sur la longueur de la poutre dans les champs suivants :
Position (il faut saisir les positions des ouvertures sur la longueur de la poutre en coordonnées relatives ou absolues),
Diamètre d'ouverture. A partir des valeurs définies des diamètres des ouvertures, le logiciel calcule la valeur du coefficient Khol :
Il est possible de définir les ouvertures sur la longueur de la poutre dans les champs suivants :
Position (il faut saisir les positions des ouvertures sur la longueur de la poutre en coordonnées relatives ou absolues),
Diamètre d'ouverture. A partir des valeurs définies des diamètres des ouvertures, le logiciel calcule la valeur du coefficient Khol :
si b < = 90 mm, alors
si D/h < = 0,1 : Khol = 1-0,555 (D/h) 3
si D/h > 0,1: Khol = 1,62/ (1,8 + D/h) 2
si b > 90 mm, alors
si D/h < = 0,1 : Khol = (1-0,555 (D/h) 3 ) x (90/b) 2
si D/h > 0,1 : Khol = (1,62/ (1,8 + D/h) 2 X (90/b) 2
Après la définition de la valeur du coefficient Khol, le logiciel vérifie la condition de la stabilité au cisaillement (voir EC5 5.1.7).
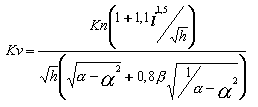
A partir des valeurs des paramètres géométriques de l’extrémité de la poutre (ci-dessous, nous présentons deux possibilités), le logiciel calcule le coefficient Kv suivant la formule :

où :
i= Lb/(h-he) (i=0 pour le premier type d’appui)
a= he/h
b=La/h.

Après la définition de la valeur du coefficient Kv, le logiciel vérifie la condition de la stabilité au cisaillement (voir EC5 5.1.7).
Chaque onglet contient l’option Prise en compte. Si cette option est désactivée, l’analyse, p. ex. du cisaillement transversal, ne sera pas effectuée et aucune option sur cet onglet ne sera disponible. Si cette option est activée, l’analyse sera effectuée après la définition de certains paramètres.
Après la définition des paramètres disponibles dans la boîte de dialogue et un clic sur le bouton Calculs, le logiciel effectue l’analyse supplémentaire des barres bois. Lorsque l'opération est terminée, une note de calcul avec le résultat du calcul s'affiche.