Multidirettrici per etichette e richiami

Alcune delle più comuni annotazioni in un disegno sono etichette e richiami. Trasmettono vari tipi di informazioni ed elementi di identificazione in base al loro contenuto e ai loro simboli. Lo strumento più avanzato disponibile per la creazione di questi oggetti in AutoCAD è lo strumento della multidirettrice, MULTIDIR. Di seguito sono riportati alcuni esempi di multidirettrici che è possibile creare facilmente.

I principali vantaggi dell'utilizzo di multidirettrici rispetto ad altri metodi sono i seguenti:

Sono disponibili diverse opzioni quando si creano uno o più stili di multidirettrice.

Nota: Questo video non contiene audio o sottotitoli.

Nota: Passaggi, immagini e video possono differire leggermente dalla versione del prodotto in uso.

Creazione di una multidirettrice standard

  1. Nella scheda Inizio, gruppo Annotazione, fare clic su Multidirettrice.
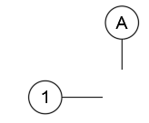
  2. Specificare il punto iniziale della punta della freccia (1), il punto iniziale della linea di collegamento (2) e digitare 402 (3). Quindi, fare clic in qualche altro punto nell'area di disegno (4) per uscire dal comando.

Proprio come nel caso della quota e degli stili di testo, gli stili di multidirettrice controllano gli elementi che si posizionano e l'aspetto che avranno. Creare diversi stili di multidirettrice in base alle proprie esigenze è il modo migliore per iniziare.

Creazione di uno stile della bolla richiamo

  1. Nella scheda Inizio, fare clic sul gruppo a discesa Annotazione, quindi fare clic sul terzo controllo nell'elenco.
  2. In Gestione stili multidirettrice, fare clic su Nuovo (1), digitare Bubble Callout come il nome del nuovo stile (2), quindi fare clic su Continua (3).
  3. Quindi, fare clic sulla scheda Contenuto (1), modificare il tipo di multidirettrice da Testom a Blocco (2). Per Blocco di origine, scegliere Cerchio (3). Quindi fare clic su OK.
  4. In Gestione stili multidirettrice, fare clic su Chiudi.

    Il nuovo stile di multidirettrice viene automaticamente impostato su Corrente.

Suggerimento: Per rendere disponibili in tutti i nuovi disegni eventuali altri stili di multidirettrice, crearli in un file del modello di disegno (DWT).

Creazione di multidirettrici

  1. Utilizzare il comando RETTANGOLO per creare un piccolo rettangolo.
  2. Sulla barra multifunzione, fare clic sulla scheda Annota e individuare il gruppo Direttrici. Il gruppo indica che la bolla richiamo è lo stile di multidirettrice corrente.
    Suggerimento: Se si creano molte multidirettrici, è preferibile utilizzare il gruppo della barra multifunzione Direttrici per accelerare l'operazione.
  3. Fare clic sullo strumento Multidirettrice sul lato sinistro del gruppo Direttrici.
  4. Utilizzando lo snap ad oggetto Punto finale, fare clic su un angolo del rettangolo per specificare la posizione della punta della freccia (1). Quindi fare clic su una posizione per la linea di collegamento della direttrice (2), digitare una lettera o un valore numerico nella finestra di dialogo Edita attributi (3) e fare clic su OK.
  5. Ripetere il passaggio precedente per creare qualcosa di simile a quello mostrato nella seguente figura:
Nota: Il comando MULTIDIR fornisce le opzioni per cambiare l'ordine di input del comando, se si desidera specificare prima la punta della freccia, la linea di collegamento o il contenuto.

Modifica di multidirettrici

  1. Selezionare il rettangolo e spostarlo.

    Notare che le punte della freccia e le direttrici vengono regolate con lo spostamento del rettangolo. Per default, le multidirettrici sono associative quando le punte della freccia vengono associate con gli snap ad oggetto.

  2. Fare clic sullo strumento Aggiungi direttrice e selezionare la multidirettrice superiore (1). Specificare un altro punto sul rettangolo (2).
  3. Fare clic sullo strumento Allineamento multidirettrici e selezionare le tre multidirettrici.
  4. Selezionare la multidirettrice più alta come riferimento per l'allineamento.
  5. Attivare la modalità orto [F8] e fare clic su una posizione del punto verticalmente verso l'alto o verso il basso per allinearli verticalmente.

    Le multidirettrici selezionate ora si allineano in verticale, come mostrato.

Regolazione delle multidirettrici mediante i grip

  1. Selezionare la multidirettrice inferiore per visualizzarne i grip.
  2. Posizionare il cursore del mouse sopra il grip vertice centrale per visualizzare un menu di opzioni.
  3. Fare clic sull'opzione Stira, quindi fare clic su una nuova posizione un po' più in alto.
    Suggerimento: Anziché fare clic su Stira, è possibile fare clic sul grip stesso per modificare la posizione della multidirettrice.
  4. Esercitarsi con gli altri grip su entrambe le estremità della multidirettrice per acquisire familiarità con essi.
    Nota: Il riposizionamento del grip all'estremità della punta della freccia termina la sua associatività. È necessario utilizzare DIMREASSOC per riassociare la punta della freccia con la posizione dello snap ad oggetto di un oggetto.

Esercitazione con impostazioni e blocchi

Provare ad utilizzare impostazioni differenti per lo stile di multidirettrice. Ad esempio, è possibile creare uno stile di multidirettrice simile al seguente modificando le impostazioni nello stile Bolla richiamo.

  1. Aprire Gestione stili multidirettrice.

    Questa operazione può anche essere eseguita direttamente dalla scheda Annota, gruppo Direttrici, come mostrato.

  2. Selezionare lo stile e fare clic su Modifica.
  3. Nella scheda Struttura direttrice, deselezionare l'opzione Includi automaticamente linea di collegamento.
  4. Nella scheda Contenuto, fare clic sull'elenco a discesa Collegamento e scegliere Punto di inserimento.
  5. Fare clic su OK e su Chiudi.
  6. Creare diversi nuovi oggetti multidirettrice con lo stile modificato.

È anche possibile creare uno stile di multidirettrice per le etichette della griglia di colonne che si presentano come segue:

  1. Aprire Gestione stili multidirettrice e fare clic su Nuovo (1).
  2. Nella finestra di dialogo Crea nuovo stile multidirettrice, scegliere Inizia con: Bolla richiamo, se necessario (2), digitare Column Labels come il nome del nuovo stile (3) e fare clic su Continua (4).
  3. Nella scheda Formato direttrice, selezionare Nessuno per il simbolo della punta della freccia.
  4. Fare clic su OK e quindi su Chiudi. Con la modalità orto attivata [F8], creare diverse etichette di colonna con il nuovo stile di multidirettrice.

Provare ad utilizzare altre impostazioni e creare le proprie definizioni di blocco con attributi. Si noterà che la funzionalità Multidirettrice fornisce un metodo efficiente per creare e gestire un'ampia varietà di etichette e richiami.

Creazione e modifica di oggetti multidirettrice

Di seguito sono riportati i comandi e le variabili di sistema utilizzati più di frequente e correlati alla creazione e alla modifica di oggetti multidirettrice e dei relativi stili.

Comando Descrizione
MULTIDIR Crea una linea che consente di collegare un'annotazione ad una lavorazione.
ALLMULTIDIR Allinea e distanzia gli oggetti multidirettrice selezionati.
RACCMULTIDIR Organizza le multidirettrici selezionate che contengono blocchi in righe o colonne e visualizza il risultato con una sola linea direttrice.
MODMULTIDIR Aggiunge o rimuove linee direttrici a/da un oggetto multidirettrice.
STILEMULTIDIR Crea e modifica gli stili della multidirettrice.
Variabile di sistema Descrizione Valore di default Salvato in
GALLERYVIEW Controlla il tipo di anteprima nelle raccolte a discesa della barra multifunzione, incluso l'elenco a discesa degli stili di multidirettrice. 1 Registro
MLEADERSCALE Imposta il fattore di scala globale applicato agli oggetti multidirettrice. 1.0000 Disegno

Utilizzare la Guida in linea di AutoCAD per ulteriori informazioni su questi comandi e sulle variabili di sistema correlate. È possibile effettuare prove con le impostazioni delle variabili di sistema per trovare la soluzione più adatta alle proprie esigenze.