Autodesk Civil 3D では、ジオメトリ定義に基づいて縦断曲線、PVI 情報、物体、および視線高の値を計算できます。
これらの値は経験式から得られ、設計速度は使用されません。
凸型曲線では、曲線の頂点が路面やその他の物体に対するドライバーの視野を遮る可能性があるため、追越視距と制動停止視距が使用されます。
凹型曲線の場合、路面やその他の物体に対するドライバーの視野を遮る曲線の頂点がないため、追越視距と制動停止視距は使用されません。見通しの良い日中、ドライバーは凹型曲線上の道路全体を十分に目視できます。しかし、夜間になると、ドライバーが目視できる距離はヘッドライトの光線が届く距離に限られます。したがって、凹型曲線を設計する場合は、ヘッドライトの視距を使用できます。
これらのプロパティは、Autodesk Civil 3D 2024 の[テキスト コンポーネント エディタ]を使用して表示できます。[ツールスペース]の[設定]タブで、[縦断]
[ラベル スタイル]
[曲線]を展開します。既定の凸型曲線と凹型曲線のラベル スタイルをダブルクリックします。[レイアウト]タブをクリックします。[コンポーネント名]領域で、[BVC]などの項目を選択します。[テキスト コンポーネント エディタ]の[プロパティ]のドロップダウン矢印をクリックし、使用できるプロパティのリストを表示します。スクロールして、[ヘッドライトの視距]や[追越視距]などのプロパティを確認します。
追越視距とは、追越車線に進入するのに十分な距離があるかどうかを判断するために、ドライバーが対向車を目視するのに必要な距離のことです。追越視距は、通常、曲線の長さに厳格な基準が設定されているため、凸型曲線の設計で使用されることはあまり多くありません。
制動停止視距とは、事故の原因となるものが路面上にないかをドライバーが目視するのに必要な距離のことです。制動停止視距は、曲線の長さの決定に広く利用されています。追越視距と制動停止視距の要件は、政府の指針で規定されています。
次の各計算式では、追越視距と制動停止視距を使用して凸型曲線の長さを計算します。
各変数は、次のとおりです。
L = 縦断曲線の長さ(単位: フィートまたはメートル)
S = 視距(単位: フィートまたはメートル)
A = 勾配の代数差(%)
h1 = 路面上での観測者の視線高(単位: フィートまたはメートル)
h2 = 路面上での物体の高さ(単位: フィートまたはメートル)
次の計算式は、S が L 未満のときの L の値を求めます。

次の計算式は、S が L 未満のときの S の値を求めます。

次の計算式は、S が L 以上のときの L の値を求めます。

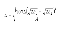
次の計算式は、S が L 以上のときの S の値を求めます。

夜間における視距は車のヘッドライトの光線によって決定します。凹型曲線は、路面上でヘッドライトの光線を遮り、光線の長さを制限します。ヘッドライトの視距では、道路上におけるヘッドライトの光線の最高点とヘッドライトの最大角度を計測して、曲線の長さを決定します。ドライバーの視線高も因子になります。
凹型曲線の作成には、次のヘッドライトの視距の計算式が使用されます。
各変数は、次のとおりです。
A = 勾配の代数差(%)
hd = 道路上におけるヘッドライトの光線の高さ(単位: フィートまたはメートル)
L = 縦断曲線の長さ(単位: フィートまたはメートル)
S = 視距(単位: フィートまたはメートル)
Ø = 水平位置からのヘッドライトの光線の上方向の傾斜角度(通常 1 度)
次の計算式は、S が L 未満のときの L の値を求めます。

次の計算式は、S が L 未満のときの S の値を求めます。

次の計算式は、S が L 以上のときの L の値を求めます。

次の計算式は、S が L 以上のときの S の値を求めます。
