荷重降下の前は、圧縮塑性モデルは引張塑性モデルと同じです。塑性応答は、有効な塑性ひずみ εp,eff によって駆動されます。塑性ひずみは、瞬間的な応力状態が引張か圧縮かにかかわらず進展します。つまり、引張と圧縮で同じ計算を実行して、指定の増分ごとに有効な塑性ひずみの進展を決定します。
応力またはひずみ状態が引張である場合は、塑性パラメータの引張バージョン(σ0+、n+、α+、β+)を使用します。応力またはひずみ状態が圧縮である場合は、塑性パラメータの圧縮バージョン(σ0-、n-、α-、β-)を使用します。
荷重の状態が引張と圧縮のどちらに偏っているかを判定する 2 つのチェックを実行します。最初に、ひずみ状態を使用します。これを実行するには、次のように定義される複合材料の静水ひずみを評価します。

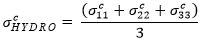
εchydro < 0 である場合、複合材料のひずみ状態は圧縮に偏っているため、2 番目のチェックをスキップします。εchydro > 0 である場合、複合材料のひずみ状態は引張に偏っているため、複合材料の静水圧応力を使用して、2 番目のチェックを実行します。

σchydro < 0 である場合、複合材料の応力状態は圧縮に偏っています。σchydro > 0 である場合、複合材料の応力状態は引張に偏っています。