Hashin 基準[16]は、複合材料の 4 つの異なる破損モードを識別します。
4 つのモードとは、繊維の引張破損、繊維の圧縮破損、母材の引張破損、母材の圧縮破損です。
= 縦方向の引張破損における σ11 の値
= 縦方向の圧縮破損における σ11 の値
= 横方向の引張破損における σ22 の値
= 横方向の圧縮破損における σ22 の値
= 縦方向せん断破損における σ12 の絶対値
= 横方向せん断破損における σ23 の絶対値
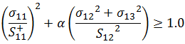
σ11 ≥ 0 である場合、繊維の引張破損基準は、次の方程式で示します。

σ11 < 0 である場合、繊維の圧縮破損基準は、次の方程式で示します。

σ22 + σ33 ≥ 0 である場合、母材の引張破損基準は、次の方程式で示します。

σ22 + σ33 < 0 である場合、母材の圧縮破損基準は、次の方程式で示します。
