剥離に使用される構成関係を表示します。
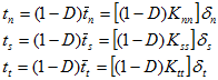
けん引/分離の構成関係に現れる剛性成分(Kij)は、損傷変数 D の関数であると仮定されます。簡潔さのために、次の線形フォームの損傷構成関係を採用します。

上記の方程式では、tn、ts、tt (上線部を除く)は、損傷した粘性材料の実際の表面力を示し、
は、損傷していない元の剛性と現在の相対変位を使用して計算された表面力を示します。数量
は、要素座標系の n、s および t 方向における粘性要素の上面と下面の間の相対変位を表します。
< 0 (圧縮表面力の下の粘性材料)の場合、tn * は損傷 *D の影響を受けないと仮定されます。そこで、以下を使用します。

興味深いのは、粘性材料が完全な連結を示し、粘性要素が圧縮の影響を受ける場合、材料剛性マトリックスは対称にならないことです。
法線方向表面力とせん断表面力が連結を示さないという仮定を維持する場合、損傷した構成関係は単純に次のように表すことができます。

これは、
< 0 以外で、
を使用する場合です。