Array 要素は LUT または行列の値の配列を指定します。配列の内容のフォーマットは、Matrix 要素で構成される場合と、LUT1D または LUT3D 要素で構成される場合とでは異なります。
バージョン 1.3。
Matrix では、値は、行単位で上から下、左から右へと連続する行列のエントリを指定します。配列値をスケールする方法は、入力と出力のビット深度によって異なります。カラー値は、乗算のための列ベクトルとして扱われます。
配列値をスケールする方法は、入力と出力のビット深度によって異なります。たとえば、入力深度が 10i、出力深度が 12i である場合は、主対角線に沿って 4095/1023 のエントリが含まれ、他の位置にはエントリが含まれない行列が ID 変換になります。


3 × 3 行列の乗算


3 × 4 行列の乗算


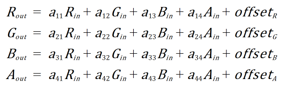
4 × 4 行列の乗算


4 × 5 行列の乗算
| 値 | 意味 |
|---|---|
| "3 3 3" | RGB 値の 3 × 3 行列操作 |
| "3 4 3" | RGB 値の 3 x 4 行列操作 バージョン 1.3 で導入されました。 |
| "4 4 4" | RGBA 値の 4 x 4 行列操作 バージョン 1.3 で導入されました。 |
| "4 5 4" | RGBA 値の 4 x 5 行列操作 バージョン 1.3 で導入されました。 |
| "4 4 3" | RGB 値の 4 x 4 行列操作このオプションを使用する場合は、行列の 1 番下の行を[0 0 0 1]にする必要があります。 このオプションは、ProcessList 要素の version 属性が "1.2" である場合にのみ有効です。バージョン 1.3 以降では、代わりに "3 4 3" を使用します。 |
<ProcessList id="af6a6c73-aae9-4be6-8051-a796bc480b1c" version="1.2">
<Matrix inBitDepth="32f" outBitDepth="32f">
<Array dim="3 3 3">
0.7841929793 0.0904410034 0.1253670007
0.0445200019 1.0391299725 -0.0836500004
0.0358299986 -0.3302420080 1.2944129705
</Array>
</Matrix>
</ProcessList>
<ProcessList id="53d366de-e200-476f-b3fd-ed1ca7044197" version="1.3">
<Matrix inBitDepth="32f" outBitDepth="10i">
<Array dim="3 4 3">
499.99996948 0.00000000 0.00000000 94.99999237
0.00000000 499.99996948 0.00000000 94.99999237
0.00000000 0.00000000 499.99996948 94.99999237
</Array>
</Matrix>
</ProcessList>