Description: Specifies the material properties for the generation of a solid element orthotropic material using MCT or Halpin-Tsai theory.
Format:
Example:
| Field | Definition | Type | Default | ||||||
|---|---|---|---|---|---|---|---|---|---|
| MID | Material identification number. Referenced on a PSOLID or PCOMP entry only. | Integer > 0 | Required | ||||||
| MIDM | Material identification number for the matrix material. See Remark 3. | Integer > 0 | Required if METHOD = 1 | ||||||
| MIDF | Material identification number for the reinforcement (fiber) material. See Remark 3. | Integer > 0 | Required if METHOD = 1 | ||||||
| MIDC | Material identification number for the composite material. See Remark 3. | Integer > 0 | Required if METHOD = 2 | ||||||
| FVF | Volume fraction of fiber. | 0.3 ≤ Real ≤ 0.9 | Required | ||||||
| TYPE | Reinforcement type, selected by one of the following values:
|
Integer | 1 | ||||||
| METHOD | Calculation method, selected by one of the following values:
|
Integer | 1 | ||||||
| MCTMAT | MCT material input, selected by one of the following values:
|
Integer | 1 | ||||||
| LC | Short fiber critical length. | Real > 0.0 | Required if TYPE = 3 | ||||||
| L | Fiber length. | Real > 0.0 | Required if TYPE = 3, 4, or, 5 | ||||||
| D | Fiber diameter. | Real > 0.0 | Required if TYPE = 3 or 5 | ||||||
| T | Fiber plate thickness. | Real > 0.0 | Required if TYPE = 4 | ||||||
| W | Fiber plate width. | Real > 0.0 | Required if TYPE = 4 | ||||||
| FBVF | Fill bundle volume fraction. See Remark 8. | 0.2 ≤ Real ≤ 0.37 | Required if TYPE = 6 | ||||||
| WBVF | Warp bundle volume fraction. See Remark 8. | 0.2 ≤ Real ≤ 0.37 | FBVF | ||||||
| MIDX | Material identification number for the MCT fill-matrix material. See Remark 3. | Integer > 0 | Required if TYPE = 6 and MCTMAT = 2 | ||||||
| MIDL | Material identification number for the MCT fill material. See Remark 3. | Integer > 0 | Required if TYPE = 6 and MCTMAT = 2 | ||||||
| MIDW | Material identification number for the MCT warp material. See Remark 3. | Integer > 0 | Required if TYPE = 6 and MCTMAT = 2 | ||||||
| MIDP | Material identification number for the MCT matrix-pocket material. See Remark 3. | Integer > 0 | Required if TYPE = 6 and MCTMAT = 2 |
Remarks:
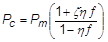
depends on the particular elastic property being considered. Halpin-Tsai theory shows that the property of a composite
can be expressed in terms of the corresponding property of the matrix
and the reinforcing phase (or fiber)
using
The MCT (Multicontinuum Theory) method is a multiscale approach to composites analysis. Failure in the composite lamina is calculated by evaluating the stress state in either the fiber or matrix, rather than the homogenized composite lamina, allowing one to capture interactions between the two. The method is applicable to unidirectional and woven composites. High fidelity micromechanics models enable the generation/optimization of composite properties from properties of the matrix and fiber. MCT ply failure analysis is enabled by specifying MCT in the FT field of the PCOMP entry.
Halpin-Tsai Generated Orthotropic Material Property Output
| TYPE | E1 | E2 | NU12 | G12 | RHO | A1 | A2 | Xt | Xc | Yt | Yc | S |
|---|---|---|---|---|---|---|---|---|---|---|---|---|
| 1 | ✓ | ✓ | ✓ | ✓ | ✓ | ✓ | ✓ | ✓ | ✓ | ✓ | ✓ | ✓ |
| 2 | ✓ | ✓ | ✓ | ✓ | ✓ | ✓ | ✓ | |||||
| 3 | ✓ | ✓ | ✓ | ✓ | ✓ | ✓ | ✓ | |||||
| 4 | ✓ | ✓ | ✓ | ✓ | ✓ | ✓ | ✓ | |||||
| 5 | ✓ | ✓ | ✓ | ✓ | ✓ | ✓ | ✓ |
MCT Generated Orthotropic Material Property Output
| TYPE | E1 | E2 | E3 | NU12 | NU23 | NU31 | G12 | G23 | G31 | RHO |
|---|---|---|---|---|---|---|---|---|---|---|
| 1 | ✓ | ✓ | ✓ | ✓ | ✓ | ✓ | ✓ | ✓ | ✓ | ✓ |
| 6 | ✓ | ✓ | ✓ | ✓ | ✓ | ✓ | ✓ | ✓ | ✓ | ✓ |
MCT Generated Orthotropic Material Property Output
| TYPE | A1 | A2 | A3 | Xt | Xc | Yt | Yc | Zt | Zc | S12 | S23 | S31 |
|---|---|---|---|---|---|---|---|---|---|---|---|---|
| 1 | ✓ | ✓ | ✓ | |||||||||
| 6 | ✓ | ✓ | ✓ |
The material allowables (Xt, Xc, Yt, etc.) must be specified on the MAT8 referenced by MIDC if failure index/strength ratios are desired and
| TYPE | Description | Example |
|---|---|---|
| 1 | Aligned continuous fiber composite lamina. Individual continuous fibers oriented in a defined direction. | Unidirectional graphite fibers in an epoxy resin. |
| 2 | Spherical particle composite lamina. Particulate composite consisting of an aggregate material with roughly round filler particles. | Unreinforced concrete with a cement aggregate and sand filler. |
| 3 | Oriented short fiber composite lamina. Discontinuous short fibers oriented in a defined direction. | A glass fiber reinforced polymer. |
| 4 | Oriented plate composite lamina. Particulate composite consisting of an aggregate material with a flat filler sheet. | A phenolic thermoset polymer matrix with a glass filler. |
| 5 | Oriented whisker composite lamina. Discontinuous whisker-shaped fibers oriented in a defined direction. | SiC whisker-reinforced ceramic matrix composite. |
| 6 | Plain weave composite lamina. Woven fabric where fill and warp threads interlace alternately resulting in equal properties in each direction. | Graphite cloth in an epoxy resin. |
| TYPE | FVF | LC | L | D | T | W |
|---|---|---|---|---|---|---|
| 1 | ✓ | |||||
| 2 | ✓ | |||||
| 3 | ✓ | ✓ | ✓ | ✓ | ||
| 4 | ✓ | ✓ | ✓ | ✓ | ||
| 5 | ✓ | ✓ | ✓ | |||
| 6 | ✓ |
| Variable | Carbon Fiber | Glass Fiber | Kevlar Fiber | Epoxy (Carbon) | Epoxy (Glass) | Epoxy (Kevlar) |
|---|---|---|---|---|---|---|
| E1 |
2.3E+11 Pa 3.3E+7 psi |
8.0E+10 Pa 1.2E+7 psi |
1.2E+11 Pa 1.7E+7 psi |
3.5E+9 Pa 5.1E+5 psi |
3.3E+9 Pa 4.9E+5 psi |
3.5E+9 Pa 5.1E+5 psi |
| E2 |
1.5E+10 Pa 2.2E+6 psi |
8.0E+10 Pa 1.2E+7 psi |
6.9E+9 Pa 1.0E+6 psi |
3.5E+9 Pa 5.1E+5 psi |
3.3E+9 Pa 4.9E+5 psi |
3.5E+9 Pa 5.1E+5 psi |
| E3 |
1.5E+10 Pa 2.2E+6 psi |
8.0E+10 Pa 1.2E+7 psi |
6.9E+9 Pa 1.0E+6 psi |
3.5E+9 Pa 5.1E+5 psi |
3.3E+9 Pa 4.9E+5 psi |
3.5E+9 Pa 5.1E+5 psi |
| G12 |
1.5E+10 Pa 2.2E+6 psi |
3.3E+10 Pa 4.8E+6 psi |
2.8E+9 Pa 4.1E+5 psi |
1.3E+9 Pa 1.9E+5 psi |
1.2E+9 Pa 1.8E+5 psi |
1.3E+9 Pa 1.9E+5 psi |
| G13 |
1.5E+10 Pa 2.2E+6 psi |
3.3E+10 Pa 4.8E+6 psi |
2.8E+9 Pa 4.1E+5 psi |
1.3E+9 Pa 1.9E+5 psi |
1.2E+9 Pa 1.8E+5 psi |
1.3E+9 Pa 1.9E+5 psi |
| G23 |
6.3E+9 Pa 9.1E+6 psi |
3.3E+10 Pa 4.8E+6 psi |
2.8E+9 Pa 4.1E+5 psi |
1.3E+9 Pa 1.9E+5 psi |
1.2E+9 Pa 1.8E+5 psi |
1.3E+9 Pa 1.9E+5 psi |
| NU12 |
0.20 |
0.20 |
0.36 |
0.35 |
0.35 |
0.35 |
| NU23 |
0.20 |
0.20 |
0.36 |
0.35 |
0.35 |
0.35 |
| NU31 |
0.01 |
0.20 |
0.01 |
0.35 |
0.35 |
0.35 |
| A1 |
-5.5E-7 / ° C -3.1E-7 / ° F |
4.9E-6 / ° C 2.7E-6 / ° F |
-5.0E-6 / ° C -2.8E-6 / ° F |
5.3E-5 / ° C 2.9E-5 / ° F |
5.8E-5 / ° C 3.2E-5 / ° F |
5.3E-5 / ° C 2.9E-5 / ° F |
| A2 |
1.0E-5 / ° C 5.6E-6 / ° F |
4.9E-6 / ° C 2.7E-6 / ° F |
4.1E-5 / ° C 2.3E-5 / ° F |
5.3E-5 / ° C 2.9E-5 / ° F |
5.8E-5 / ° C 3.2E-5 / ° F |
5.3E-5 / ° C 2.9E-5 / ° F |
| A3 |
1.0E-5 / ° C 5.6E-6 / ° F |
4.9E-6 / ° C 2.7E-6 / ° F |
4.1E-5 / ° C 2.3E-5 / ° F |
5.3E-5 / ° C 2.9E-5 / ° F |
5.8E-5 / ° C 3.2E-5 / ° F |
5.3E-5 / ° C 2.9E-5 / ° F |
| Variable | Composite Properties with Aligned Continuous Fibers | Composite Properties with Plain Weave Fabric | ||||
|---|---|---|---|---|---|---|
| Carbon Fiber | Glass Fiber | Kevlar Fiber | Carbon Fiber | Glass Fiber | Kevlar Fiber | |
| FVF/BVF |
0.6 |
0.52 |
0.6 |
0.373 |
0.373 |
0.373 |
| E1 |
1.4E+11 Pa 2.0E+7 psi |
4.3E+10 Pa 6.2E+6 psi |
7.5E+10 Pa 1.1E+7 psi |
5.2E+10 Pa 7.5E+6 psi |
2.7E+10 Pa 3.9E+6 psi |
2.8E+10 Pa 4.1E+6 psi |
| E2 |
8.0E+9 Pa 1.2E+6 psi |
9.7E+9 Pa 1.4E+6 psi |
5.5E+9 Pa 8.0E+5 psi |
5.2E+10 Pa 7.5E+6 psi |
2.7E+10 Pa 3.9E+6 psi |
2.8E+10 Pa 4.8E+6 psi |
| E3 |
8.0E+9 Pa 1.2E+6 psi |
9.7E+9 Pa 1.4E+6 psi |
5.5E+9 Pa 8.0E+5 psi |
8.2E+9 Pa 1.2E+6 psi |
1.0E+10 Pa 1.5E+6 psi |
5.8E+9 Pa 4.1E+6 psi |
| G12 |
3.9E+9 Pa 5.7E+5 psi |
3.5E+9 Pa 5.1E+5 psi |
2.0E+9 Pa 2.9E+5 psi |
4.0E+9 Pa 5.8E+5 psi |
4.6E+9 Pa 6.7E+5 psi |
2.0E+9 Pa 2.9E+5 psi |
| G23 |
3.9E+9 Pa 5.7E+5 psi |
3.5E+9 Pa 5.1E+5 psi |
2.0E+9 Pa 2.9E+5 psi |
2.7E+9 Pa 3.9E+5 psi |
3.1E+9 Pa 4.5E+5 psi |
1.9E+9 Pa 2.8E+5 psi |
| G31 |
2.9E+9 Pa 4.2E+5 psi |
3.4E+9 Pa 4.9E+5 psi |
2.0E+9 Pa 2.9E+5 psi |
2.7E+9 Pa 3.9E+5 psi |
3.1E+9 Pa 4.5E+5 psi |
1.9E+9 Pa 2.8E+5 psi |
| NU12 |
0.26 |
0.26 |
0.36 |
0.072 |
0.12 |
0.1 |
| NU23 |
0.26 |
0.26 |
0.36 |
0.4 |
0.36 |
0.45 |
| NU31 |
0.38 |
0.42 |
0.37 |
0.4 |
0.36 |
0.45 |
| A1 |
6.4E-8 / ° C 3.6E-8 / ° F |
7.2E-6 / ° C 4.0E-6 / ° F |
-3.9E-6 / ° C -2.2E-6 / ° F |
3.2E-6 / ° C 1.8E-6 / ° F |
1.2E-5 / ° C 6.7E-6 / ° F |
3.3E-6 / ° C 6.1E-6 / ° F |
| A2 |
3.3E-5 / ° C 1.8E-5 / ° F |
3.5E-5 / ° C 1.9E-5 / ° F |
5.4E-5 / ° C 3.0E-5 / ° F |
3.2E-6 / ° C 1.8E-6 / ° F |
1.2E-5 / ° C 6.7E-6 / ° F |
3.3E-6 / ° C 1.8E-6 / ° F |
| A3 |
3.3E-5 / ° C 1.8E-5 / ° F |
3.5E-5 / ° C 1.9E-5 / ° F |
5.4E-5 / ° C 3.0E-5 / ° F |
5.2E-5 / ° C 2.9E-6 / ° F |
4.4E-5 / ° C 2.4E-6 / ° F |
7.3E-5 / ° C 4.1E-6 / ° F |
If TSAI2MCTFVF or TSAI2MCTBVF are specified, TSAI2MCT must be set to either CARBON, GLASS, or KEVLAR as required. TSAI2MCT requires PARAM, UNITS to be specified. See Section 5, Parameters, for more information on TSAI2MCT, TSAI2MCTFVF, and TSAI2MCTBVF.