固定配線を回路に追加する

設計への配線の追加は省略可能です。配線なしでも回路は作成できます。Revit では、回路に関連付けられているインテリジェンスが維持されます。

次のいずれかの方法で固定配線を追加できます。

回路のプロパティを使用して、回路内で使用する配線のタイプを指定します。「回路プロパティ」を参照してください。

回路を固定配線に変換する

  1. 回路内のコンポーネントをハイライト表示し、[Tab]を押して、回路をクリックで選択します。

回路の配線のタイプを選択する

  1. 作図領域で、 または をクリックして円弧配線を作成します。

    通常は、円弧配線は、壁、天井、または床の隠ぺい配線を表すために使用されます。

  2. 作図領域で、 または をクリックして面取り配線を作成します。

    通常は、面取り配線は、露出配線を表すために使用されます。

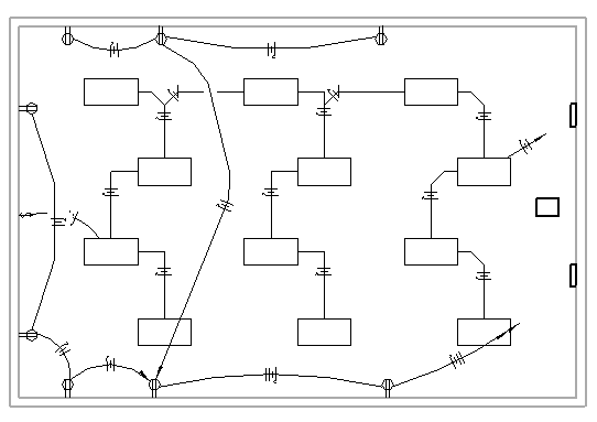
    次の例で、円弧配線はコンセントを接続し、面取り配線は照明器具を接続します。 幹線が自動的に追加され、パネルへの接続を示します。

    配線の幹線は、ビュー スケールに基づいた既定の長さで生成されます。次に例を示します。
    • ビュー スケールが 1:1 の場合、幹線の長さは約 6 インチです。
    • ビュー スケールが 1/8:1 の場合、幹線の長さは約 36 インチです。