外部圧縮性流れは、次の2つのカテゴリに分類できます。
内部流れと異なり、どちらのタイプにもデバイス上および周囲を通過する流れが含まれます(デバイス内を通過するのではなく)。例としては、翼、ミサイル、または航空機のナセル上の流れがある。
オープンエアおよび風洞解析を解決するための方針は、計算領??のサイズと代表的な流入口条件の点において若干異なります。
オープンエアアプリケーションの場合、解析領域はモデルの一部として定義されない(風洞の場合と異なる)。デバイスの寸法に基づいて領域のサイズを決定する、いくつかの基本的なガイドラインがある。これらはガイドラインに過ぎず、状況によって変わる可能性があります。


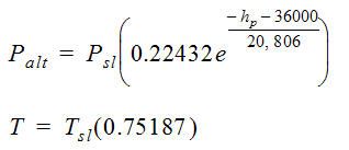
-1000 ft < hp < 36,000 ft:

hp = 高度(フィート単位);
Palt = 高度での静圧
Talt = 高度での静温度
Psl = 海面での圧力
Tsl = 海面での温度
36,000 ft < hp < 65,000 ft:

伝熱計算を解決しない場合は、計算タスクダイアログで必ず全温度を指定します。全温度は、次式で計算される。

一般に流入口にはブロータンクから流れが送り込まれます。
流入口: 全圧(Pt)を指定します(全圧は、タンク内の移動しない空気の静圧になる)。流速が既知である場合は、流速も指定する。
流出口: 静圧を指定します(P = 0)。
環境圧力が風洞内の周囲圧力となるように指定します:
伝熱計算の場合、流入口に全温度を指定する。
物体に流れを基準とする迎え角がある場合、物体ではなく計算領域の方向を変えることが推奨される。領域の方向は、自由流速度と領域の側面が平行となるようにするべきである。

すべての場合において、材料環境ダイアログの可変を選択します:
抗力計算の精度を向上させるため、次のテクニックが推奨されます。
物体周辺には、非常に細かいメッシュが必要とされる。流線型のボディには、圧力の係数の急激な変化を計算するためにボディの澱み点付近に細かいメッシュを必要とする。
SST k-ω乱流モデルを起動する。
[壁レイヤ]ダイアログで少なくとも 10 のレイヤを指定します。
ADV5 対流項計算スキームを呼び出す。
アダプティブ メッシュを有効にする。このオプションにより、シミュレーションのいくつかの反復の中でメッシュが次第に細分割されます。結果はメッシュに依存しない解となります。このオプションは、多くの計算が必要になることがあり、メッシュの単一実行よりも時間がかかる場合があることに注意してください。
関連トピック