토목 공학에서는 점차적으로 다양한 완화 곡선을 사용하여 접선과 원형 원곡선 간 및 곡면이 서로 다른 곡면이 있는 두 원형 원곡선 간의 곡면과 편경사를 점차로 도입하고 있습니다.
다른 접선 및 원곡선에 대한 관계에서 각 완화곡선은 진입 원곡선 또는 진출 원곡선입니다.
엔지니어가 완화곡선을 설계 및 설정할 때 가장 일반적으로 사용하는 두 가지 매개변수는 L(완화곡선 길이)과 R입니다. R 매개변수는 완화곡선의 한쪽 끝에서의 곡률 반지름을 나타냅니다. R1 및 R2는 완화곡선의 시작과 끝의 반지름을 구분하는 데 사용할 수 있습니다.
다음 그림은 완화곡선의 다양한 매개변수를 보여 줍니다.
| 완화곡선 매개변수 | 설명 |
| R1 | 원곡선 1의 반지름 |
| R2 | 원곡선 2의 반지름 |
| SS | 완화곡선 시작 위치 |
| SE | 완화곡선 끝 위치 |
| SP | 호 길이 l의 완화곡선 점 |
| Θ | 호 길이 l에 있는 완화곡선 점의 중심 각도 |
| l | 완화곡선 시작 위치부터 완화곡선을 따라가는 호 길이 |
| L | 완화곡선 시작 위치와 끝 위치 사이의 완화곡선의 총 호 길이 |
복합 완화곡선은 반지름이 서로 다른 두 원형 원곡선 간의 변환을 제공합니다. 두 가지의 복합 완화곡선이 있습니다. 단순 완화곡선과 복합 완화곡선입니다. 복합 완화곡선은 두 개의 단순 완화곡선으로 구성된 원곡선입니다. 두 개의 구간이 포함되어 있으며 각 구간은 단순 완화곡선으로, 인접한 완화곡선과 연속적으로 접합니다. 이는 곡면 함수의 연속성을 유지하게 해주며 편경사에서 매끄러운 변환을 도입할 수 있는 방법을 제공합니다.
Autodesk Civil 3D는 여러 완화곡선 유형을 지원하지만, 가장 일반적으로 사용되는 완화곡선 유형은 클로소이드 완화곡선입니다. 클로소이드 완화곡선은 고속도로와 철도 선로 설계 모두에 사용되는 표준 측면입니다.
스위스 수학자 Leonard Euler가 처음으로 조사한 클로소이드 곡면 함수는 완화곡선이 접선과 만나는 위치에서 곡면이 길이 함수로서 0(영)이 되도록 선택한 선형 함수입니다. 그런 다음 곡면은 완화곡선과 원곡선이 만나는 점에서 인접한 원곡선과 같아질 때까지 선형으로 증가합니다.
단순 원곡선과 달리 국소 곡률의 연속성도 유지하며, 이는 고속으로 주행하는 차량에서 점점 더 중요해집니다.
공식
클로소이드 완화곡선은 다음 공식으로 표현할 수 있습니다.
완화곡선의 평평도:
완화곡선에 대응되는 총 각도:
접선-완화곡선 점에서 완화곡선-원곡선 점의 접선 거리:
접선 -완화곡선 점에서 완화곡선-원곡선 점의 접선 간격띄우기 거리:

클로소이드를 사용하는 대신 Bloss 완화곡선을 변환으로 사용할 수 있습니다. 이 완화곡선은 클로스이드에 비해 이동 P가 작기 때문에 더 긴 변환과 완화곡선 확장(K)을 갖는다는 이점이 있습니다. 이 요인은 난간 설계에서 중요합니다.
공식

기타 주요 표현식:
접선-완화곡선 점에서 완화곡선-원곡선 점의 접선 거리:

접선 -완화곡선 점에서 완화곡선-원곡선 점의 접선 간격띄우기 거리:
이러한 원곡선은 곡면의 일정한 방위각을 나타내며 0도에서 90도 사이의 접선 편각 변환에 적용할 수 있습니다. 그러나 사인 원곡선은 완화곡선보다 경사가 급해 평면으로 만들어 측량하기 어렵기 때문에 광범위하게 사용되지는 않습니다.
공식

여기서 r은 지정된 점에서 곡률 반지름입니다.
이 계산식은 일본에서 철도를 설계하는 데 일반적으로 사용됩니다. 이 원곡선은 차체 역학과 관련하여 낮은 편각에 대한 곡면 변경에서 효과적인 변환이 필요한 상황에 유용합니다.
공식
사인 반파장 감소 접선 원곡선은 다음과 같이 설명될 수 있습니다.
및 x가 원곡선의 시작 위치에서 임의의 점까지의 거리가 확장된 처음 접선을 따라 측정됩니다. X는 전환 곡선 끝의 전체 X를 나타냅니다.
기타 주요 표현식:
접선-완화곡선 점에서 완화곡선-원곡선 점의 접선 거리:

접선 -완화곡선 점에서 완화곡선-원곡선 점의 접선 간격띄우기 거리:

3차 포물선은 철도 및 고속도로 설계 시 널리 사용되는 3차 포물선보다 느리게 수렴됩니다.
공식
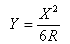
3차 포물선의 최소 반지름
설명: Θ= 호 길이에서 완화곡선 점의 중심 각도
위의 다이어그램을 참고하십시오.
3차 포물선에서 최소 r을 구할 수 있는 식:
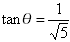
따라서
입니다.
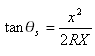
3차 포물선 반지름은 24도, 5분, 41초에 무한대에서
(으)로 줄어들고 그 이후 다시 증가합니다. 이 때 편각이 24도보다 큰 경우 3차 포물선은 사용할 수 없습니다.
이 변환은 일본의 요구사항에 맞게 개발되었습니다. 작은 편각 또는 큰 반지름을 수용해야 하는 경우 사용할 수 있도록 몇 개의 클로소이드 근사값이 개발되었습니다. 이러한 근사값 중 하나로 일본에서 설계에 사용되는 입방(JP)이 있습니다.
공식
입방(JP)은 다음과 같이 설명할 수 있습니다.
여기서 X는 접선-완화곡선 점에서 완화곡선-원곡선 점의 접선 거리입니다.
또한 이 공식은 다음과 같이 표현될 수 있습니다.

여기서
은 완화곡선의 중심 각도입니다(그림의 i1 및 i2).
기타 주요 표현식:
접선-완화곡선 점에서 완화곡선-원곡선 점의 접선 거리:

접선 -완화곡선 점에서 완화곡선-원곡선 점의 접선 간격띄우기 거리:
이것은 뉴사우스웨일스(호주) 표준의 요구사항을 충족하도록 수정된 3차 포물선의 유형입니다.
공식
NSW 3차 포물선을 다음과 같이 표현할 수 있습니다.
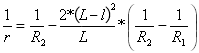
4차(Schramm) 포물선에는 수직 가속도의 낮은 값이 포함되어 있습니다. 이러한 포물선에는 원곡선 길이 함수(l)에 따라 반지름이 변하는 두 개의 2도 포물선이 포함되어 있습니다.
단순 원곡선 공식
첫 번째 포물선의 곡면:
의 경우
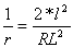
두 번째 포물선의 곡면:
의 경우
이러한 원곡선은 완화곡선의 사용자 정의 길이(L)에 의해 지정됩니다.
복합 원곡선 공식
첫 번째 포물선의 곡면:
의 경우
두 번째 포물선의 곡면:
의 경우