사용자 방정식을 사용하여 접힌 판금 부품 모형 내에서 절곡부 영역을 얼마나 평평하게 만들지 정확하게 지정합니다.

이러한 사용자 방정식은 스타일 및 표준 편집기 대화상자를 사용하여 정의되는 명명된 전개 규칙 내에 정의됩니다.

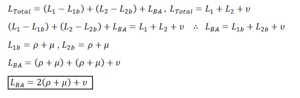
총 전개 길이를 결정하기 위해 절곡부 보정 방정식을 사용합니다.

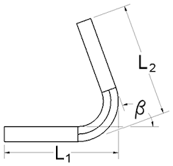
 . 총 전개 길이입니다.
. 총 전개 길이입니다.  . 첫 번째 상세 면에서부터 가상선까지의 길이입니다.
. 첫 번째 상세 면에서부터 가상선까지의 길이입니다.  . 두 번째 상세 면에서부터 가상선까지의 길이입니다.
. 두 번째 상세 면에서부터 가상선까지의 길이입니다.  . 절곡부 허용 오차 계산의 결과입니다. Inventor에서는 다음 방정식을 사용하여 절곡부 허용 오차를 계산합니다. 각도의 경우
. 절곡부 허용 오차 계산의 결과입니다. Inventor에서는 다음 방정식을 사용하여 절곡부 허용 오차를 계산합니다. 각도의 경우  이면 Inventor에서는
이면 Inventor에서는  방정식을 사용합니다. 이 때, 각 항목은 다음과 같습니다.
 방정식을 사용합니다. 이 때, 각 항목은 다음과 같습니다.  . 절곡부 각도입니다.
. 절곡부 각도입니다.  . 절곡부 허용 오차 길이입니다.
. 절곡부 허용 오차 길이입니다.  . 절곡부 판 내부 반지름입니다.
. 절곡부 판 내부 반지름입니다.  . 시트 두께입니다.
. 시트 두께입니다.  . 절곡부 허용 오차 계산의 결과입니다.
. 절곡부 허용 오차 계산의 결과입니다. 절곡부 허용 오차를 포함하도록 원래 방정식을 확장할 때의 결과:


각도의 경우  이면 다음 방정식을 사용합니다.
이면 다음 방정식을 사용합니다. 

절곡부 허용 오차를 포함하도록 원래 방정식을 확장할 때의 결과:


절곡부 허용 오차가 결정된 후 다음을 사용하여 K 계수를 파생할 수 있습니다.


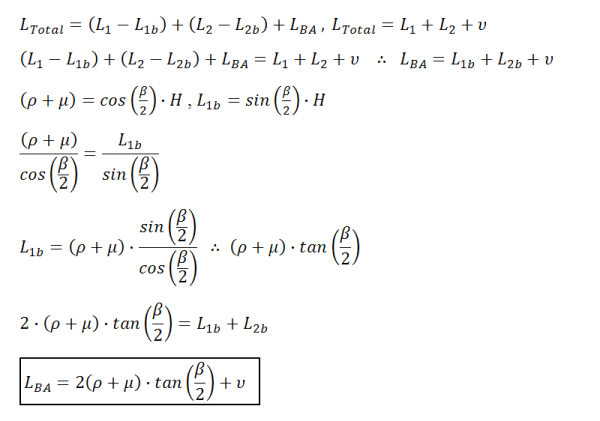
총 전개 길이를 결정하기 위해 절곡부 감소 방정식을 사용합니다.

 . 총 전개 길이입니다.
. 총 전개 길이입니다.  . 첫 번째 상세 면에서부터 가상선까지의 길이입니다.
. 첫 번째 상세 면에서부터 가상선까지의 길이입니다.  . 두 번째 상세 면에서부터 가상선까지의 길이입니다.
. 두 번째 상세 면에서부터 가상선까지의 길이입니다.  . 절곡부 허용 오차 계산의 결과입니다.
. 절곡부 허용 오차 계산의 결과입니다. 절곡부 감소 방정식을 통해 절곡부 보정 방법과 완전히 반대인 계산 방법을 얻을 수 있습니다.
절곡부 감소의 경우 Inventor에서는 다음 방정식을 사용하여 절곡부 허용 오차를 계산합니다.
각도의 경우:


 입니다. 이 경우 각 항목은 다음과 같습니다.
입니다. 이 경우 각 항목은 다음과 같습니다.  . 절곡부 각도입니다.
. 절곡부 각도입니다.  . 절곡부 허용 오차 길이입니다.
. 절곡부 허용 오차 길이입니다.  . 절곡부 판 내부 반지름입니다.
. 절곡부 판 내부 반지름입니다.  . 시트 두께입니다.
. 시트 두께입니다.  . 절곡부 허용 오차 계산의 결과입니다.
. 절곡부 허용 오차 계산의 결과입니다. 각도의 경우  이면
이면  방정식이 사용됩니다.
 방정식이 사용됩니다. 

 을 사용합니다. 여기서 각 항목은 다음과 같습니다.
을 사용합니다. 여기서 각 항목은 다음과 같습니다.  . 총 전개 길이입니다.
. 총 전개 길이입니다.  . 첫 번째 절곡부 판의 길이입니다.
. 첫 번째 절곡부 판의 길이입니다.  . 두 번째 절곡부 판의 길이입니다.
. 두 번째 절곡부 판의 길이입니다.  . 절곡부 허용 오차 계산의 결과입니다.
. 절곡부 허용 오차 계산의 결과입니다. 정의된 방정식이 제공되어 절곡부 허용 오차가 즉시 해결됩니다. K 계수는 다음 방정식을 통해 파생됩니다.


K 계수를 사용하여 전개되는 총 길이를 결정하는 방법은 다음 방정식을 사용합니다.

 . 총 전개 길이입니다.
. 총 전개 길이입니다.  . 첫 번째 절곡부 판의 길이입니다.
. 첫 번째 절곡부 판의 길이입니다.  . 두 번째 절곡부 판의 길이입니다.
. 두 번째 절곡부 판의 길이입니다.  . 절곡부 허용 오차 계산의 결과입니다.
. 절곡부 허용 오차 계산의 결과입니다. 절곡부 허용 오차는 다음 방정식을 사용하여 계산됩니다.

명명된 전개 규칙을 편집하는 동안 4가지 유형의 사용자 방정식을 정의할 수 있습니다.
스타일 및 표준 편집기 대화상자에서 선택한 방정식 유형에 따라 방정식 왼쪽을 정의하는 변수가 결정됩니다. 방정식 편집 대화상자의 문자 삽입 키는 각도, 반지름, 두께 및 Pi에 대해 클릭 한 번으로 삽입할 수 있습니다.
방정식 편집기 대화상자를 열기 전에 변수 유형이 스타일 및 표준 편집기 대화상자에서 선택된 방정식 유형에 의해 정의됩니다.
 . 측정된 각도 변수를 사용자 전개 방정식에 삽입합니다.
. 측정된 각도 변수를 사용자 전개 방정식에 삽입합니다.  . 측정된 내부 반지름 변수를 사용자 전개 방정식에 삽입합니다.
. 측정된 내부 반지름 변수를 사용자 전개 방정식에 삽입합니다.  . 측정된 두께 변수를 사용자 전개 방정식에 삽입합니다.
. 측정된 두께 변수를 사용자 전개 방정식에 삽입합니다.  . Pi의 수학 값을 사용자 전개 방정식에 삽입합니다.
. Pi의 수학 값을 사용자 전개 방정식에 삽입합니다. 경계 편집 대화상자를 통해 경계 조건을 지정하여 각도, 반지름 또는 두께 범위에 대한 전개 방정식을 정의할 수 있습니다.