필요한 벨트 수를 결정하거나 벨트 연동의 강도 검사를 수행할 때 응용프로그램에서는 벨트 동력비와 전달할 동력을 비교합니다. 또한 벨트 동력비를 가져오기 위해 기준 동력비를 주어진 벨트 연동 배치에서 결정된 고유 계수에 따라 정정합니다.
기준 벨트 동력비 P BR
기준 벨트 동력비는 XML 데이터 테이블에 정의되고 설계 데이터 폴더에 저장된 공식에 따라 결정됩니다. V-벨트 생성기에서 제공하는 각 벨트는 사용 가능한 모든 벨트와 필요한 기계적 특성이 들어 있는 특정 XML 파일로 설명됩니다. 기준 동력 공식과 이 공식에 사용된 계수는 표준 권장 사항에서 가져오며 실제 제조업체 데이터와 다를 수 있습니다. 사용자는 기준 벨트 동력비를 사용자화하고 벨트 제조업체 카탈로그에서 실제 데이터를 제공할 수 있습니다. 일반적으로 표준 권장 동력비는 보다 안전하며 벨트 제조업체 교환 가능 수준을 제공하지만 벨트 연동이 과도하게 설계될 수 있습니다.
기준 벨트 동력비는 속도, 피치 지름 및 가장 작은 풀리(연동 또는 연계 풀리)의 속도비 함수입니다.
P RB = F(n j , D Pj , i j )
벨트 동력비 P R
P R = P RB c 1 c 3 c 4 c 5
결과 서비스 계수
 
결과 서비스 계수 C PR < C p 이면 강도 검사가 실패합니다.
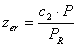
필요한 벨트 수
 
과도한 인장 조정 검사
벨트의 최대 허용 장력은 다음과 같이 결정됩니다.
 
F max < F t max 또는 F max < F t 이면 강도 검사가 실패합니다.
유효한 벨트 속도 및 플렉스 진동수 검사
벨트 플렉스 진동수 f b > f max 이면 효율성이 낮아지고 벨트 손상이 조기에 발생할 수 있습니다. 이 경우 오류 경고가 표시됩니다.
벨트 속도 v > v max 이면 벨트가 이러한 속도로 설계되지 않았기 때문에 오류 경고가 표시됩니다.
사용된 변수의 의미:
| f max | 최대 벨트 플렉스 진동수 [Hz] | 
| f b | 주어진 벨트 연동에 대한 벨트 플렉스 진동수 [Hz] | 
| n | 주어진 풀리의 속도 [rpm] | 
| D P | 플랫 풀리 공칭 및 외부 지름 [m] | 
| i | 주어진 풀리의 전동비(속도비) [-] | 
| c 1 | 접촉 호 정정 계수 [-] | 
| c 2 | 서비스 계수 [-] | 
| c 3 | 벨트 길이 정정 계수 [-] | 
| c 4 | 벨트 수 정정 계수 [-] | 
| c 5 | 풀리 수 정정 계수 [-] | 
| z | 벨트 수 [-] | 
| P R | 주어진 전동 배치에 대한 벨트 동력비 [W] | 
| P | 전달할 동력 [W] | 
| v | 벨트 속도 [m/s] | 
| v max | 최대 허용 벨트 속도 [m/s] |