회로에 영구 배선 추가

설계에 배선을 추가하는 것은 선택 사항입니다. Revit에서 회로와 연관된 정보를 유지하고 있으므로 배선 없이 회로를 작성할 수 있습니다.

다음 중 한 가지 방법을 사용하여 영구 배선을 추가할 수 있습니다.

회로 특성을 사용하여 회로에 사용되는 와이어 유형을 지정할 수 있습니다. 회로 특성을 참고하십시오.

회로를 영구 배선으로 변환

  1. 회로에서 구성요소를 하이라이트하고 Tab 키를 눌러 회로를 하이라이트한 후 클릭하여 회로를 선택합니다.

회로에 사용할 배선 유형을 선택합니다.

  1. 도면 영역에서 또는 을 클릭하여 호 배선을 작성합니다.

    호 배선은 벽, 천장 또는 바닥에 숨겨진 배선을 나타내는 데 자주 사용됩니다.

  2. 도면 영역에서 또는 을 클릭하여 모따기된 배선을 작성합니다.

    모따기된 배선은 노출된 배선을 나타내는 데 자주 사용됩니다.

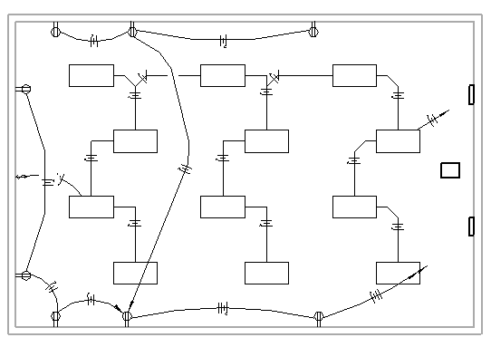
    다음 예에서는 호 배선으로 리셉터클을 연결하고, 모따기된 배선으로 조명 설비를 연결합니다. 패널에 대한 연결을 나타내도록 귀로가 자동으로 추가됩니다.

    와이어 귀로의 기본 길이는 뷰 축척을 기준으로 하여 생성됩니다. 예는 다음과 같습니다.
    • 1:1 뷰 축척의 경우 귀로 길이는 약 6"입니다.
    • 1/8:1 뷰 축척의 경우 귀로 길이는 약 36"입니다.