요약 파일에는 선택한 변수에 대한 방향 벡터 최소값, 최대값, 평균 노드 값이 포함되어 있습니다. 모든 입구 및 출구에서 질량 흐름, 벌크 압력, 온도 및 레이놀즈 수에 대한 전역 요약 계산이 제공됩니다. 전체 모형에 대한 벽 열 전달, 전역 에너지 균형 및 유체 힘이 보고됩니다.
해석 런타임 통계 및 사용된 RAM의 크기가 나열됩니다.
요약 파일은 확장자가 ".sum"이며 문자 편집기에서 볼 수 있습니다.
해석 계산 단위 및 모든 변수의 단위가 이 파일에 포함되어 있습니다.
개구부
모든 속도 경계 조건에는 "입구" 레이블이 지정되고, 모든 압력 경계 조건에는 "출구" 레이블이 지정됩니다. 이러한 레이블은 예약용으로, 모형 안으로 또는 모형 밖으로의 흐름 방향에 따라 달라지지 않습니다.
각 개구부에 대해 다음 값이 보고됩니다.
압력 구동 흐름(입구 및 출구에 압력이 지정되어 있음)의 경우 요약 파일은 0개 입구와 2개 출구가 있다고 보고합니다. 실제 입구에는 양수 질량 유량이 있고, 실제 출구에는 음수 질량 유량이 있습니다. 또한 "총 유입 질량 흐름” 및 “총 유출 질량 흐름"은 0이 됩니다. 이는 지정된 속도 조건이 없고(레이블이 지정된 입구가 없음), 레이블이 지정된 출구의 총 질량 흐름이(하나는 양수이고 다른 하나는 음수) 취소되었기 때문입니다.
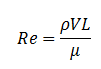
레이놀즈 수에 대한 주:
기본 양식 레이놀즈 수는 다음과 같이 계산됩니다.
= 유체 밀도
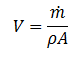
= 유체 점도단면을 가로지르는 평균 속도는 다음과 같이 계산됩니다.
= 질량 유량특성 길이 L은 단면적의 제곱근으로 계산됩니다.
레이놀즈 수에 대한 결과 방정식은 다음과 같습니다.
온도 통계
열 전달 해석에서 온도 분포에 대한 통계가 요약 파일에 포함됩니다. 이러한 통계는 모형의 얼마나 많은 부분(체적 백분율)의 온도가 지정된 범위 내에 해당하는지를 보여줍니다.
벽의 유체 힘 요약
누적 힘 구성요소는 요약 파일에서 전단 및 압력 결과로 보고됩니다. 이러한 값은 모형에서 모든 벽에서의 힘 값을 더한 것입니다. 결과 작업 대화상자에서 벽 계산기를 사용하여 개별 곡면의 힘을 계산합니다.
쉘 힘
해석에 쉘(솔리드 표면 장애물)이 포함된 경우 각 표면에 대한 힘, 온도 및 열 전달 정보가 요약 파일에 나열됩니다.
에너지 균형
| 선 | 유체 에너지 균형 정보: |
| 1 | MdotIn x Cp x (TOut - TIn) |
| 2 | 외부 에너지 - 내부 에너지(노드 열 잔류 기준) |
| 3 | 벽에서 유체로 열 전달 |
| 4 | 유체의 소스로 인한 열 전달 |
| 5 | 유체 벽에 대한 복사 열 전달 합계 |
| 솔리드 에너지 균형 정보: | |
| 6 | 외부에서 솔리드로 열 전달 |
| 7 | 솔리드의 소스로 인한 열 전달 |
| 8 | 유체에서 솔리드로 열 전달 |
선 1: 출구에서 입구로 이동하는 유체 에너지의 물리적 차이입니다.
선 2: 출구에서 입구로 이동하는 유체 에너지의 차이입니다. 전체 모형에 대한 경계 노드 열 잔류의 합입니다. 모든 유체 경계 조건을 유지하는 데 필요한 총 에너지를 나타냅니다.
선 3: 유체가 벽의 열 전달 경계 조건에서 선택한 에너지 양이며, 솔리드 재료의 인터페이스에 있는 노드를 포함하여 모든 벽 노드에 있는 잔류의 합계입니다. 모든 외부 유체 벽(다른 체적 또는 표면에 닿지 않음)이 단열인 경우 이 선은 유체가 솔리드 재료에서 가져온 에너지의 양을 나타냅니다. 이러한 외부 유체 벽에 열 경계 조건이 있을 경우 선 3에 그러한 조건뿐만 아니라 솔리드 재료에서 전송되는 에너지가 포함됩니다.
선 4: 유체 요소/체적에만 있는 열 소스에서 합산한 에너지입니다.
선 5: 선 24 및 선 68에서 계산된 잔류에는 복사 플럭스가 포함되지 않습니다. 이 선은 모든 벽 표면에서의 복사 플럭스를 합한 것입니다.
선 6: 솔리드와 외부 경계 간에 전송되는 에너지 양입니다. 솔리드 재료의 외부 면에 있는 잔류의 합입니다. 이러한 면은 다른 재료와 접하지 않습니다. 솔리드 재료에 솔리드 재료와 일부 외부 면에 적용된 열 생성이 있을 경우 이 선에 이러한 외부 노드의 잔류 합계인 한정된 수가 포함될 수 있습니다. 이 경우 해당 재료에서 환경으로 스며드는 에너지로 이 수를 해석할 수 있습니다. 외부 면에 열 플럭스 유형 조건 또는 지정된 온도가 있는 경우 이 선은 그러한 경계 조건을 유지하는 데 필요한 에너지의 양을 나타냅니다.
선 7: 솔리드 재료 요소/체적에만 있는 열 소스에서 합한 에너지입니다.
선 8: 솔리드 재료의 인터페이스가 유체 요소로 교차하는 에너지입니다. 단열 유체 외부 벽의 경우 이 값은 선 3과 일치해야 합니다.
유체 에너지 균형을 위해 다음 값이 일치해야 합니다.
외부 에너지 - 내부 에너지 = 벽에서 유체로 열 전달 + 유체의 소스로 인한 열 전달 + 유체 벽에 대한 복사 열 전달
또는
선 2 = 선 3 + 선 4 + 선 5
솔리드 에너지 균형을 위해 다음 값이 일치해야 합니다.
솔리드의 소스로 인한 열 전달 = 외부에서 솔리드로 열 전달 + 유체에서 솔리드로 열 전달 + (일부 복사)
또는
선 7 = 선 6 + 선 8 + (일부 복사)
복사 계산의 경우 솔리드에서 나가는 복사 에너지가 포함되지 않으므로 선 8이 선 6보다 큽니다.
이러한 선이 정확하게 일치하지 않는 이유는 무엇입니까? 모형의 모든 노드에 있는 에너지 방정식의 잔류를 합산합니다. 에너지 방정식이 수렴되지 않으면 균형이 유지되지 않습니다. 수렴 시에도 숫자 반올림 및 메쉬 부정확성으로 인해 에너지 균형에 여전히 몇 가지 오차가 있을 수 있습니다.
또한 Autodesk® CFD의 목적은 온도 측면에서 가장 정확한 솔루션을 얻는 것입니다. 따라서 Autodesk® CFD 솔버는 최상의 솔루션을 결정하는 데 에너지 균형을 사용하지 않고, 에너지 방정식 및 온도 솔루션을 직접 살펴보고 최적의 온도 솔루션을 얻기 위해 최적화합니다. 에너지 방정식이 플럭스를 기준으로 형성된 경우 수렴되지 않은 에너지 솔루션에 대해서도 항상 에너지 균형을 얻습니다. 그러나 이러한 플럭스의 균형을 유지하려면 온도를 퍼지게 하거나 분산시켜 에너지 균형을 유지할 수 있도록 해야 합니다. 이러한 열 플럭스 균형 조정으로 인해 온도 그라데이션이 더욱 완만해집니다. Autodesk® CFD에서는 플럭스나 에너지 균형에 맞춰 온도 그라데이션이 인위적으로 강제 적용되지 않으므로 메쉬 및 이산이 지원하는 경사도가 유지됩니다. 이 온도가 일반적으로 설계를 구속하는 온도이므로 로컬 온도에 대한 보다 정확한 해석이 필요합니다.
Autodesk® CFD에 에너지 균형을 가져올 수 있습니까? 예, 그러나 보다 미세한 메쉬와 수백 회 이상의 반복이 필요할 수 있습니다. 메쉬와 반복을 추가해도 10분의 몇 또는 100분의 몇 도 이상으로 온도가 바뀌지 않을 수 있지만 에너지 균형은 20% 이상 바뀔 수 있습니다.
예를 들어 아래 그림의 열 전달 문제에서 입구에서 출구까지의 예상 온도 상승은 질량 흐름 1kg/s에 1°C이며 에너지 입력은 100와트입니다(유체의 비열이 100).

Autodesk® CFD에서 예측한 출구 온도가 31.1°C이면 에너지 균형의 오차는 10%입니다. 하지만 온도 솔루션의 오차는 다음과 같습니다.

따라서 온도 솔루션의 오차는 1%보다 작습니다. 또한 온도 매트릭스는 절대 온도로 형성되므로 온도 솔루션의 실제 오차는 다음과 같습니다.

따라서 온도 솔루션에는 0.03%의 오차가 있습니다.