Lista de parâmetros de solo disponíveis

Designação das referências

Designações dos módulos no Robot

Nome do campo

Descrição do campo

Aplicação nos módulos do Robot

Referências

Peso da unidade

Relação entre o peso da amostra do solo e seu volume

ρ = M / V

A,B,C,D,E,F,G

Em todos os cálculos, quando o cálculo do peso do solo é necessário

[1] 3.3.3

[2] 5.4

[3] 3.3.6

[4] 3,21

[7] 2-5

[8] Capítulo 3 2

Peso unitário de sólidos do solo

Peso unitário dos sólidos do solo, isto é, a relação entre o peso das partículas do solo e seu volume:

ρ = M / Vs

Essa quantidade é às vezes representada como a relação da densidade de partículas do solo para a densidade da água. Os valores do peso unitário dos sólidos do solo para a maioria dos solos estão contidos no intervalo de 2,55 a 2,65 [kN/m 3 ] 160 a 165 [pcf].

A, B, C, D,

Parâmetro usado em todos os cálculos, no qual o peso do solo, incluindo a água subterrânea, deve ser considerado. Ele é aplicado tanto para o cálculo do levantamento hidrostático quanto para o peso do solo com vazios (poros ou espaços entre partículas) preenchidos com água.

[2] 5.5

[3] 3.3.6

[7] 2-2; 2-5

[8] Capítulo 3 2

Conteúdo de água

Relação do peso da água contida em uma amostra com o peso dos sólidos do solo

-

[2] 5.5

[3] 3.3.6

[7] 2-3

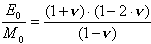
Coeficiente de Poisson

ν – coeficiente de Poisson do solo (módulo de deformação transversal do solo)

O coeficiente de Poisson é uma quantidade calculada com base em testes de tensão triaxiais e uniaxiais.

C, F

Nos cálculos do deslocamento transversal de uma parede de retenção e do coeficiente de elasticidade do solo.

[6] Anexo 4

[7] 2-3

Módulo de compressibilidade odométrica

M – Módulo secundário de compressibilidade sob tensão triaxial. Calculado com base no teste do edômetro após um ciclo de consolidação (carga – descarga).

A, B, C, D

Nos cálculos do assentamento, se a descarga da escavação for considerada (consolidação principal).

[1] 3.3.8; Anexo D

[2] 7

[3] 3.4.5; 3.5.2

[7] 2-10

[8] Capítulo 3 4

Módulo principal edométrico de compressibilidade

M 0 – Módulo principal de compressibilidade sob tensão triaxial. Calculado com base no teste do edômetro no primeiro ciclo de carga.

A, B, C, D

Nos cálculos do assentamento.

[1] 3.3.8; Anexo D

[2] 7

[3] 3.4.5; 3.5.2

[7] 2-10

[8] Capítulo 3 4

Coeficiente de consolidação,

índice de consolidação

β – Coeficiente reológico, relação do módulo de deformação principal com o módulo de deformação secundária:

F

No cálculo do coeficiente de elasticidade do solo, se os efeitos de consolidação forem considerados.

[3] 3.4.5;

[4] 3,32

[7] 2-10

[8] Capítulo 3 4

Módulo de deformação do solo

E – Módulo secundário de compressibilidade sob tensão uniaxial. Calculado com base no teste do edômetro após um ciclo de consolidação (carga – descarga).

F

No cálculo do coeficiente de elasticidade do solo, se os efeitos de consolidação forem considerados.

[1] 3.3.8; Anexo D

[2] 7

[3] 3.4.5; 3.5.2

[4] 3,22; 3,32

[7] 2-10; 2-11.2

[8] Capítulo 3 4

Módulo de deformação do solo primário

E 0 – Módulo de compressibilidade sob tensão uniaxial. Calculado com base no teste do edômetro no primeiro ciclo de carga.

E, F

No cálculo do coeficiente de elasticidade do solo e do assentamento de fundação da estaca

[1] 3.3.8; Anexo D

[2] 7

[3] 3.4.5; 3.5.2

[4] 3,32

[7] 2-10; 2-11.2

[8] Capítulo 3 4

Ângulo efetivo de atrito interno

Φ – Ângulo de atrito interno (inclinação natural). Um dos dois valores básicos que caracterizam a resistência do solo:

τ = σ * tan(Φ) + c

A,B,C,D,E,F,G

Cálculo da capacidade de suporte de carga, do coeficiente de atrito e da pressão do solo.

[1] 3.3.7

[2] 9

[3] 3.3.6; 3.3.7

[4] 3,21

[7] 2-11; 4-2

[8] Capítulo 3 5

Coesão efetiva do solo

c – Coesão do solo. Um dos dois valores básicos que caracterizam a resistência do solo:

τ = σ * tan(Φ) + c

(Consulte a descrição do campo Solo coeso).

A,B,C,D,E,F,G

Cálculo da capacidade de suporte de carga, do coeficiente de atrito e da pressão do solo.

[1] 3.3.7

[2] 9

[3] 3.3.6; 3.3.7

[4] 3,21

[7] 2-11; 4-2

[8] Capítulo 3 5

Símbolo

Designação de símbolo de solo.

-

-

Valor da unidade de resistência máxima do solo que atua sob a base da estaca

Resistência máxima da base da estaca. Valor por [m 2 ].

E

Nos cálculos da capacidade de carga da estaca.

[1] 7.6.3.3

[5] 2.2

[7] 16-7

[9] Capítulo 5 3.2

Valor unitário da resistência máxima do solo ao longo do eixo da estaca

Resistência máxima do eixo da estaca. Valor por [m 2 ].

E

Nos cálculos da capacidade de carga da estaca.

[1] 7.6.3.3

[5] 2.2

[7] 16-7

[9] Capítulo 5 3.2

Estado do solo

Classificação do estado do solo de acordo com ID e IL.

 

-

[3] 3.3.6

Símbolo de designação de solo coesivo

Símbolo que identifica um tipo de solo coesivo.

H

O parâmetro que permite a determinação automática das propriedades do solo de acordo com o método B [3].

[3] 1.4.6; 3.3.6

Nome do solo

Nome do solo

A,B,C,D,E,F,G

Sempre que uma seleção de solo for feita.

-

IL/ID

Respectivamente, o grau de plasticidade de um solo coesivo ou o grau de compactação de um solo sem coesão.

H

O parâmetro que permite a determinação automática das propriedades do solo de acordo com o método B [3].

[3] 3.3.6

Υ mín.

Fator de material do solo – mínimo

E

O fator de material decrescente, que permite a conversão de valores não fatorados para valores de projeto (fatorados).

[1] 2.4.2

[3] 3.2

Υ máx.

Fator de material do solo – máximo

-

O fator de material crescente, que permite a conversão de valores não fatorados para valores de projeto (fatorados).

[1] 2.4.2

[3] 3.2

Solo coesivo

O campo que permite a identificação de solos coesos.

A,B,C,D,E,F,G,H

Sempre que os cálculos requerem a coesão do solo para serem considerados ou quando os cálculos de solos com e sem coesão diferem. Para solos não designados como coesivos, o conteúdo do campo Coesão efetiva do solo é ignorado.

-

Umidade

Umidade de um solo sem coesão

E, H

O parâmetro que permite a determinação automática das propriedades do solo de acordo com o método B [3].

[3] 3.3.6

Coeficiente de atrito fundação-solo

Fator de atrito

A, B, C, D

No cálculo do atrito entre a fundação e o solo.

 

Coeficiente de permeabilidade (condutividade hidráulica)

Permeabilidade (condutividade hidráulica), constante de Darcy, unidade [m/s]

-

[3] Anexo 3

[7] 2-9

Capacidade de suporte do solo

Capacidade de suporte não fatorada do solo

A, B, C, D

Esse valor é usado somente quando as opções para calcular a capacidade de suporte do solo são apagadas.

[3] Anexo 2 3

[4] 3,1; 3,2

[7] 4-3

[9] Capítulo 4 2

Tipo de solo

Nome do solo que descreve uma família de solos com características comuns, como cascalhos, areias argilosas e argilas.

H

O parâmetro que permite a determinação automática das propriedades do solo de acordo com o método B [3].

[3] 3.3.6