As deflexões da viga precisam ser verificadas em duas circunstâncias: carga de construção com resistência não composta e em flexão composta completa sob cargas de serviço. Se a curvatura for selecionada, ela também afetará os resultados dos cálculos de deflexão.
Se você tiver escolhido usar a curvatura, ela será calculada antes de qualquer deflexão. Em seguida, ela será usada para determinar as deflexões reais sob cargas de serviço. Por padrão, 80% da deflexão de peso próprio é curvada, com tamanhos mínimo, máximo e do passo conforme definido pelo usuário. Como as deflexões podem ser irregulares e não ter seu máximo no centro da viga, a curvatura pode ser calculada em qualquer ponto ao longo da viga assumindo que a viga seja curvada em um arco circular. É possível encontrar o raio r do arco com base no valor de curvatura usado “c” e do comprimento da viga l:

e, em seguida, a curvatura em qualquer deslocamento “x” pode ser encontrada por:

Durante a construção, a rigidez (e, portanto, a deflexão) da seção provém somente da seção de aço não composta. Para cada viga, as deflexões sob o peso próprio da laje, o peso da seção de aço e quaisquer outras cargas de construção são calculadas e comparadas com os limites definidos pelo usuário. A rigidez E e o momento de inércia I da seção de aço são usados para os cálculos de deflexão.
Se a viga for curvada, essa curvatura será calculada primeiro. A deflexão em um ponto é definida como a curvatura nesse ponto subtraída da deflexão da viga sob as cargas fornecidas. Elas são calculadas sob cargas de serviço (ou seja, sem fatoração). Os tipos de carga que são incluídos nesse cálculo são:
Os limites de deflexão da construção podem ser definidos como um valor absoluto (o padrão é 2 pol.) ou um coeficiente relativo (o padrão é L/500).
As deflexões da viga sob cargas de serviço são avaliados segundo dois critérios:
No caso de deflexão da carga variável, só são calculadas as deflexões em cargas variáveis. A curvatura não está incluída nesses cálculos. Este teste é projetado para representar o movimento diferencial da viga durante a ocupação e é baseado somente na rigidez e no momento de inércia da seção composta (veja abaixo o método de cálculo da rigidez das seções de concreto). A deflexão da carga variável é limitada em um valor absoluto definido pelo usuário (o padrão é 2 pol.) ou em um valor relativo definido pelo usuário (o padrão é L/360).
No caso combinado, a deflexão máxima é definida como a deflexão total em todas as cargas de serviço menos a curvatura na viga. Representa o quanto a viga dobra na linha de centro em qualquer ponto ao longo de seu comprimento. No entanto, como as deflexões de peso próprio ocorrem durante a ação não composta enquanto as deflexões de carga variável ocorrem durante a ação composta, a rigidez e a inércia das vigas são diferentes para cada caso, e elas devem ser calculadas separadamente e, em seguida, adicionadas. Portanto, a deflexão total no caso combinado é igual à soma das deflexões de peso próprio (usando I e E para o aço) mais as deflexões de todas as outras cargas de serviço (usando I e E para a seção composta) menos a curvatura (que é baseada em uma porcentagem das deflexões de peso próprio). A deflexão combinada é limitada em um valor absoluto (o padrão é 2 pol.) ou em um valor relativo (o padrão é L/240).
Os cálculos de deflexões da carga de serviço requerem o uso de um momento efetivo de inércia com base nas propriedades elásticas da seção composta. As propriedades são calculadas com base na geometria da seção e (para ação composta parcial) na porcentagem da ação composta completa desenvolvida pelos montantes. A dobra de longo prazo associada ao concreto é ignorada para fins desses cálculos.
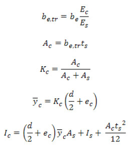
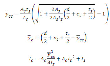
A primeira etapa é avaliar se o Eixo neutro elástico (ENA) está na laje ou na seção de aço. Isso pode ser encontrado com os seguintes testes. Dependendo da condição, o momento de inércia transformado da seção composta elástica é calculado usando a abordagem fornecida em Cheu (1996).
Se

o ENA estará no aço:

Se

o ENA estará na laje:

em que:
E c / Es = n – coeficiente de rigidez modular

yc – distância do centroide de aço até o eixo neutro elástico
ec – distância da mesa superior do aço até o centroide da mesa efetiva do concreto
Is – momento de inércia da seção de aço
Ic – momento de inércia transformado da seção totalmente composta
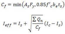
O momento efetivo de inércia para a seção composta parcial, I eff (que é usado para todos os cálculos de deflexão da carga de serviço), é calculado usando a equação C-I3-3 do comentário da ANSI/AISC 360-10, com base na relação da resistência do montante (
) para a força de mesa de compressão totalmente composta Cf:
