Esse sistema de armadura está dividido em duas zonas.
Zona inferior
A armadura que pertence a esse grupo é distribuída diretamente sobre a armadura principal na área a seguir.
0,4h se h ≤ l
0,4*l se h > l
Se a armadura principal inferior for distribuída na zona na altura = 0,15*h ou 0,15*l, o alcance da armadura horizontal será limitado de cima e será igual a 0,55*h ou 0,55*l.
Símbolos:
Ahi – Seção transversal da armadura horizontal dentro da camada.
shi – Espaçamento da armadura.
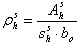
Porcentagem da armadura horizontal igual a
.
Além disso, a condição a seguir deve ser verificada.
, a armadura deverá ser distribuída ao longo de todo o comprimento do vão
, uma parte da armadura cuja quantidade mínima é igual =
é distribuída ao longo de todo o comprimento do vão, enquanto a parte restante da armadura (na forma de inserções) deve ser distribuída na zona próxima ao apoio (dentro da zona inferior), ao longo do comprimento de 0,3*lo (no comprimento do apoio). Zona superior
Essa armadura é distribuída ao longo de todo o comprimento do vão de acordo com o seguinte.
Símbolos:
Ahs – Seção transversal da armadura horizontal dentro das camadas.
shs – Vão da armadura.
A porcentagem da armadura horizontal é igual a

No caso em que h > l, aplique a armadura uniformemente distribuída na zona entre l e 1,5*l. A porcentagem dessa armadura deve ser menor que máx.(0,5*rhs; rhs(mín.)).