Distribuição de forças em soldas devido a uma carga paralela ao banzo

Distribuição de forças em soldas devido a uma carga perpendicular ao banzo

Distribuição de tensões em soldas longitudinais

Distribuição de tensões em soldas transversais



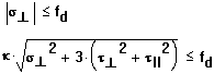
Fórmulas para tensões resultantes em soldas (longitudinal 1, longitudinal 2, transversal interna 3, transversal externa 4)

Condição de resistência:
Eurocódigo

PN:
