A opção de assentamento médio está disponível para todos, exceto as normas francesas (DTU 13.12 e Fascicule 62 Titre V). A ativação da análise desse estado limite, bem como a determinação do valor limite do assentamento, são opções ativadas na caixa de diálogo Opções geotécnicas.
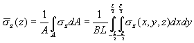
Os cálculos de assentamento médio são baseados nas suposições e fórmulas da teoria linear da elasticidade. Os cálculos são executados com base nas tensões calculadas na fórmula Boussinesq e no princípio de superposição.

em que:
B – Cota transversal de um retângulo (fundação).
L – Cota longitudinal de um retângulo (fundação).
Observe que na norma SNiP 2.02.01-83, um método de cálculo diferente é aplicado (veja abaixo descrições detalhadas para normas individuais).
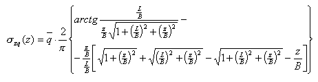
A fórmula descreve um valor médio das tensões em uma área retangular. É derivada da fórmula Boussinesq, que descreve a distribuição de tensões devido a uma carga de força concentrada em um semiespaço elástico.

A aplicação do princípio de superposição permite o cálculo de uma tensão no ponto P(0,0,z), resultante de uma área arbitrária carregada de forma uniforme de acordo com a fórmula a seguir.

As soluções para as equações acima para pontos de canto da área retangular, sob o centro da área retangular, bem como para um valor médio sob a área retangular, são provenientes dos estudos adequados. Para obter um valor da tensão média na área retangular, a fórmula abaixo deve ser usada, que, após a integração, assume a forma aplicada no algoritmo de cálculo.

Observe que, quando ocorre água subterrânea, a pressão de Arquimedes e o peso da água são considerados nos cálculos.
As tensões adicionais no solo, consideradas nos cálculos de assentamento, são uma diferença entre as tensões causadas pela carga externa e as tensões originais.
em que:
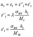
M 0n – O módulo de capacidade de compressão (sem efeitos de relaxamento levados em conta) edométrica (obtido no aparelho de compressão triaxial) do solo na enésima faixa. Uma relação entre o módulo de Young e o módulo de capacidade de compressão edométrica é expressa pela fórmula
.
Observe que na norma SNiP 2.02.01-83, um método de cálculo diferente é aplicado (veja abaixo descrições detalhadas para normas individuais).
Observe também que um valor do coeficiente de Poisson para um determinado tipo de solo não é especificado, as bases de dados de solo para países individuais podem incluir os valores E = M, que correspondem a um material perfeitamente compressível (ν = 0,0). Os valores típicos do coeficiente de Poisson são iguais a 0,2÷0,3 para solos não coesos (o valor 0,2 refere-se a solos de granulação grossa como cascalho, enquanto 0,3 refere-se a solos de granulação fina como poeira) e 0,25÷0,37 para solos coesivos (o valor 0,25 diz respeito a solos altamente consolidados, enquanto 0,37 a solos siltosos).
Aplicam-se os requisitos nacionais individuais a seguir para limitações e demandas.
Os cálculos desse estado limite não estão disponíveis.
Os cálculos gerais cumprem os requisitos estabelecidos no ponto 6.6.1 e no Anexo D. Os valores de assentamento nas camadas são adicionados até que a profundidade seja alcançada. O valor limite das tensões adicionais é menor que 20% [6.6.1] (2).
Os cálculos gerais cumprem os requisitos estabelecidos no ponto 6.6.1 e no Anexo D. Os valores de assentamento nas camadas são adicionados até que a profundidade seja alcançada. O valor limite das tensões adicionais é menor que 20% [6.6.2] (6).
Os cálculos dos valores de assentamento são realizados de acordo com os requisitos da norma (ponto 3.5 e Anexo 2). As fórmulas para tensões gerais do solo correspondem às fórmulas Z2-9, para as tensões médias sob a área retangular, e à fórmula 16, para as tensões originais, e são aplicadas nos cálculos. Os efeitos de pressão de fluxo não são considerados.
Há a possibilidade de considerar os efeitos da descarga do solo através de uma escavação, de acordo com a norma 3.5.1.2. Os efeitos de descarga são calculados como tensões negativas causadas por cargas externas iguais ao peso do solo removido. Está disponível na caixa de diálogo Opções geotécnicas (tempo de construção) e equivale a uma definição do valor da norma λ igual a 0,0 ou 1,0 de acordo com 3.5.3. O assentamento total de uma faixa de solo é calculado com base na fórmula.

A segunda das fórmulas acima é idêntica à fórmula para o assentamento de uma faixa fornecida no algoritmo geral.
Nas versões polonesas, os valores de assentamento em camadas são adicionados até que a profundidade seja atingida, na qual o valor limite de tensões adicionais é inferior a 30% do original.
Os cálculos de assentamento são feitos de acordo com os requisitos da norma: ponto 2.39 e Anexo 2.

As tensões causadas por cargas externas são calculadas com base na fórmula de código no Anexo 2 (2).
O coeficiente α é determinado com base no Anexo 2 (Tabela 1), entre os valores fornecidos na tabela, a interpolação linear é executada.
Os valores de assentamento em camadas são adicionados até que a profundidade seja atingida, na qual o valor limite de tensões adicionais é menor que 20% do original. Se a camada nessa profundidade possuir o módulo de Young do valor E<5MPa ou uma camada que esteja diretamente abaixo dela possuir o módulo desse valor, os cálculos serão realizados até que a profundidade seja alcançada, na qual o valor limite de tensões adicionais é menor que 10% das tensões (Anexo 2 ponto 6).