O processo de cálculo do coeficiente K é como segue.
- O solo sob a fundação é dividido em faixas de 0,2 m de espessura. Se a espessura da camada for menor que 0,2 m, os cálculos serão executados para toda a camada.
- Cada faixa n é analisada com base nos valores calculados na profundidade sendo o centro da faixa Zn.
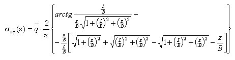
- Para a profundidade Zn, a tensão média, causada por cargas externas pelo peso de uma fundação e o solo subjacente (σ(z)) sob a fundação, é determinada com base na fórmula apresentada abaixo.
em que:
B – Dimensão transversal de um retângulo (fundação)
L – Dimensão longitudinal de um retângulo (fundação)
A fórmula acima descreve um valor médio de tensões em uma área retangular. É derivada da fórmula Boussinesq que descreve a distribuição de tensões devido a uma carga de força concentrada em um semiespaço elástico.
A aplicação do princípio de superposição permite o cálculo de uma tensão no ponto P(0,0,z), resultante de uma área arbitrária carregada com uma carga uniforme de acordo com o princípio abaixo.
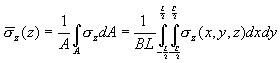
As soluções para as equações acima para pontos de canto da área retangular, sob o centro da área retangular, bem como para um valor médio sob a área retangular, são fornecidas na documentação. Para obter um valor das tensões médias na área retangular, use a seguinte fórmula. Após a integração, assume a forma aplicada no algoritmo de cálculo.
- Para a profundidade Zn, é determinada uma tensão original induzida pelo solo que está acima da faixa analisada.
Nota: Se ocorrer água do solo, a pressão de Arquimedes e um peso da água serão considerados nos cálculos.
- As tensões adicionais no solo, contabilizadas nos cálculos de assentamento, são as tensões causadas pela carga externa.
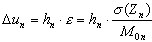
- Os cálculos da média de assentamento da faixa n são executados com base nas propriedades do solo.
em que:
M0n – É o módulo de compressibilidade original (sem efeitos de relaxamento), edométrico (no aparato de compressão triaxial) do solo na faixa de ordem n. Uma relação entre o módulo de Young e o módulo de compressibilidade edométrica é expressa pela fórmula a seguir.
Nota: Quando não for especificado um valor da relação de Poisson para um determinado tipo de solo, as bases de dados de solo para países individuais podem incluir os valores E = M que correspondem a um material perfeitamente compressível (ν = 0,0). Os valores típicos da relação de Poisson são iguais a 0,2÷0,3 (o valor 0,2 refere-se a solos de granulação grossa como cascalho, enquanto 0,3 refere-se a solos de granulação fina como poeira) e 0,25÷0,37 para solos coesivos (o valor 0,25 diz respeito a solos altamente consolidados, enquanto 0,37 – solos siltosos).
O assentamento total do solo é a soma dos valores de assentamento de camadas sucessivas.
Os cálculos são realizados até atingir o nível Zn:
- Que não é menor que 1 (m).
- Para as quais as tensões devido à carga estimada representam menos de 25% das tensões causadas pelo peso do solo.
- Para qual incremento de assentamento de camada ∆un na próxima camada é menor que 0,1% do assentamento total
- Que não é maior que 10 (m).
O coeficiente de rigidez calculado equivale a K = 1 / ∆u. O coeficiente de rigidez K corresponde à carga da superfície da unidade.