A capacidade de carga do solo é um estado limite central do projeto da fundação; portanto, não pode ser desativada durante o projeto ou a análise de uma fundação. A análise desse estado consiste em comparar o valor máximo da força ou da tensão resultante de cargas externas com os valores suportados. Os valores suportados são definidos pelo usuário ou calculados com base nos parâmetros do solo.
Quando os valores são calculados, há a possibilidade de análise do solo em camadas. Os valores definidos pelo usuário para as tensões suportadas são comparados com os valores diretamente relacionados à base da fundação.
A capacidade de carga do solo definida pelo usuário é comparada com:
Cálculos para normas individuais
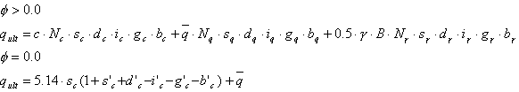
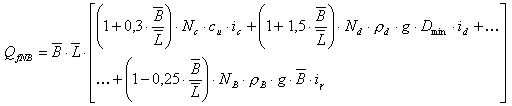
Já foram desenvolvidos e apresentados em estudos vários métodos básicos de cálculo da capacidade de carga do solo. Os cálculos segundo esses métodos calculam as tensões suportadas no solo ou a força suportada correspondente a elas. Em ordem cronológica, esses métodos são: Terzagi (1943), Meyerhof (1963), Hansen (1970), Versić (1973, 1975). Hansen é empregado junto com as diretrizes para esse método apresentadas em estudos. A fórmula básica para a capacidade de carga de Hansen é:

Foi limitado aos casos analisados no módulo de sapata distribuída. São considerados os fatores responsáveis pela inclinação da sapata b e a inclinação de aterro g igual a 1,0.
Como não é permitido usar solos com ângulo de atrito φ = 0,0 graus no módulo, somente a primeira das fórmulas de Hansen é aplicada. A fórmula final para o cálculo das tensões suportadas para ACI \ BS 8004:1986 \ CSA é:
em que os fatores relevantes são iguais a:

e a área efetiva A' = B' * L'.

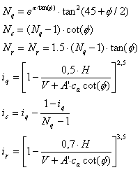
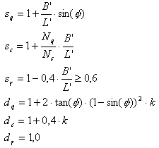
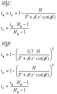
em que:

O valor calculado qult dividido pelo fator de segurança SF=3,0 é comparado com a tensão média máxima no solo, induzida em SLS:
Para as normas francesas, estão disponíveis os seguintes métodos de cálculo de capacidade de carga do solo:
Laboratório
Os cálculos para ambas as normas são executados de acordo com a seção 3.21 do DTU 13.12 (o Fascicule não fornece diretrizes sobre o método laboratorial).
A condição geral de capacidade de carga é expressa da seguinte forma:
.
Isso supõe que qref indica a maior tensão média que ocorre na fundação em ULS, enquanto gg é um coeficiente igual a 2 para a combinação ULS e 1,5 para a combinação ULS incluindo cargas de vento.
Os cálculos de capacidade de carga são feitos da seguinte forma:
.
Os coeficientes de capacidade de carga não dimensional equivalem a:
.
Os coeficientes de forma não dimensional equivalem a:
.
Os coeficientes não dimensionais de inclinação de uma carga induzida pela força horizontal H equivalem a:
.
Pressiométrica completa
Os cálculos são baseados em uma curva definida pelo usuário como resultado de pesquisa pressiométrica no local. O tipo de solo é um parâmetro significativo no nível de referência da fundação. O tipo de solo determina os coeficientes usados nos cálculos da capacidade de carga e é adotado com base no anexo E.1 do Fascicule 62 Titre V
A condição geral de capacidade de carga pode ser expressa do seguinte modo.
(de forma análoga ao método laboratorial).
Os cálculos do valor da capacidade de carga qu são executados com base na seção 3.22 da norma da seguinte forma:
.
Isso é definido de acordo com a norma e p le * é uma tensão limite equivalente calculada com base na fórmula:
em que B é uma cota da fundação na direção considerada.
A profundidade da fundação é estabelecida como a profundidade mínima da fundação, Dmin, menos a profundidade d (a parte desconsiderada da profundidade da fundação).
A condição geral de capacidade de carga pode ser expressa da seguinte forma:
.
Todos os valores da fórmula acima são definidos de acordo com a fórmula, com base na seção B.3.1,1, bem como nos anexos B.1., E.2., F.1.
Pressiométrica da tensão
Segundo esse método, a capacidade de carga do solo é adotada com base em um valor definido pelo usuário. O valor qu suportado (característico) definido pelo usuário, em ULS ou SLS, é sempre convertido para o valor qu característico e, em seguida, com base nesse valor, o valor de tensão limite qlim é calculado de acordo com as fórmulas:
DTU 13.12
Fascicule 62 Titre 62
.
Se a retificação for selecionada, será executada a correção de um valor especificado pelo usuário em relação à geometria e às cargas. Um valor especificado pelo usuário é tratado como a capacidade de carga qu para a fundação com as cotas de unidade (A=B=1m) que estão sujeitas somente a cargas verticais, com a profundidade da fundação (Dmin – d). São consideradas as cotas reais da fundação, como a influência de cargas e momentos horizontais (excentricidades). Isso é refletido nos cálculos dos coeficientes kp, idb. O tipo de solo é um parâmetro significativo no nível de referência da fundação. O tipo de solo determina os coeficientes usados nos cálculos da capacidade de carga e é adotado com base no anexo E.1 do Fascicule 62 Titre V
A análise da capacidade de carga do solo baseia-se nos pontos 6.5.1, 6.5.2 e no Anexo B da norma EC 7. A condição geral de capacidade de carga V d < Rd pode se tornar mais rigorosa com a inserção de um fator de segurança maior do que 1,0 na caixa de diálogo Opções geotécnicas, na guia Geral.
O cálculo do valor da capacidade de carga continua tal como indicado a seguir.
Os fatores sem cota da capacidade de carga são iguais a:
.
Os fatores sem cota da forma são iguais a:
.
Os fatores sem cota da inclinação da carga resultante da força horizontal H paralela aos lados mais longo e mais curto, respectivamente, são iguais a:
.
Os coeficientes da profundidade da fundação equivalem a:

em que:
.
.
O fator sem cota da forma é igual a:
sc = 1,2 + 0,2 * ( B' / L' ).
O fator sem cota da inclinação da carga resultante da força horizontal H é igual a:
Observe que o parâmetro do solo Coesão sem drenagem – c u é aplicado aqui.
A análise da capacidade de carga do solo baseia-se nos pontos 6.5.2.1, 6.5.2.2 e no Anexo D da norma EC 7. A condição geral de capacidade de carga V d < Rd é multiplicada pelo coeficiente g R dependendo da abordagem de cálculo. É possível modificar o coeficiente em Preferências do trabalho. O cálculo do valor da capacidade de carga é realizado da seguinte maneira:
O cálculo do valor da capacidade de carga continua tal como indicado a seguir.
Os fatores sem cota da capacidade de carga são iguais a:
.
Os fatores sem cota da forma são iguais a:
.
Os fatores sem cota da inclinação da carga resultante da força horizontal H paralela aos lados mais longo e mais curto, respectivamente, são iguais a:

Os coeficientes da profundidade da fundação equivalem a:

em que:
.
.
O fator sem cota da forma é igual a:
sc = 1,2 + 0,2 * ( B' / L' ).
O fator sem cota da inclinação da carga resultante da força horizontal H é igual a:
Observe que o parâmetro do solo Coesão sem drenagem – c u é aplicado aqui.
Coeficientes parciais para EN 1997-1-1:2004 (EC 7)
Para a norma EN 1997-1-1:2004, existe a possibilidade de modificar os coeficientes parciais para os conjuntos R (pressão e resistência) e M (parâmetros do solo) 2.4.7.3.4.
É possível encontrar os valores padrão dos parâmetros em Preferências do trabalho.
Nos regulamentos, estão disponíveis conjuntos (para ações ou seus efeitos) de coeficientes parciais para as combinações das normas geotécnicos (EC7_2004_geo.rgl).
A análise da capacidade de carga do solo baseia-se no ponto 3.3.3, Anexo 1. Condição geral de capacidade de carga:
pode se tornar mais rigorosa com a inserção de um fator de segurança maior do que 1,0 na caixa de diálogo Opções geotécnicas da guia Geral.
O cálculo do valor da capacidade de carga continua tal como indicado a seguir (Z1-2):
.
Os fatores sem cota da capacidade de carga são iguais a:
.
Os fatores sem cota i são determinados com base nos nomogramas da norma (fig. Z1-2).
A análise da capacidade de carga do solo baseia-se no ponto 2.58 -2. A condição geral de capacidade de carga (11) é:
em que:
γ c – coeficiente de ambiente
γ n – fator de confiabilidade levando em conta o uso para o qual uma estrutura é projetada
Ambos os coeficientes são modificados na caixa de diálogo Opções geotécnicas pela fórmula apresentada:
.
Como resultado do projeto, é obtido o fator de confiabilidade de uma estrutura, o que é igual a:
.
O cálculo do valor da capacidade de carga continua como indicado a seguir (16):
.
Os fatores sem cota da capacidade de carga N são calculados de acordo com a tabela 7 da norma. A interpolação linear entre valores é executada. Os fatores sem cota da forma x são calculados tal como indicado a seguir (17):
.