A resposta modal é determinada por meio da fórmula a seguir.
em que:
n – Número de modos
e ij – Coeficientes de correlação
R i , R j – Resposta espectral aos modos i e j
Os seguintes tipos de combinações quadráticas estão disponíveis no programa.
Para o método SRSS, os coeficientes de correlação são iguais:
eij = 1 para i=j.
eij = 0 para i≠j.
assim:
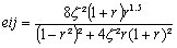
Para o método CQC, os coeficientes de correlação são calculados com base na seguinte fórmula.
em que:
ζ i , ζ j – Coeficientes de amortecimento para os modos i e j (valores relativos)
r = Mín (T i /T j ; T j /T i ) ≤ 1
T j , T i – Períodos de vibração para os modos i e j.
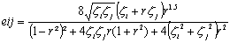
A fórmula acima é usada quando a opção Incluir amortecimento nos cálculos é selecionada na caixa de diálogo com os parâmetros da análise modal. Se essa opção não estiver selecionada, um valor de amortecimento será aplicado a todos os modos e a fórmula acima assumirá a seguinte forma.
em que Rdir1 é o valor máximo representativo de uma resposta específica de um determinado elemento para um determinado componente de um terremoto, definido como dir1; Rkdir1 é um valor de pico da resposta do elemento devido ao modo k-th.
em que Rdir1 é o valor máximo representativo de uma resposta específica de um determinado elemento para um determinado componente de um terremoto, definido como dir1; Rkdir1 é um valor de pico da resposta do elemento devido ao modo k-th (k <-> s); N é o número de modos.

τ indica a duração de um terremoto
ξk é um coeficiente de amortecimento para o modo k-th
ωk é uma pulsação para o modo k-th (k <-> s).
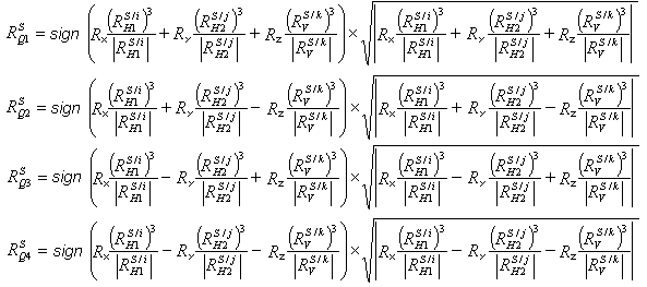
As fórmulas que permitem avaliar uma combinação quadrática assinada RQ para as direções H1, H2 e V:

em que:

RH1 – Resposta quadrática da quantidade calculada com base em todas as respostas modais de um caso sísmico ou espectral para a primeira direção horizontal.
RH2 – Resposta quadrática da quantidade calculada com base em todas as respostas modais de um caso sísmico ou espectral para a segunda direção horizontal.
RV – Resposta quadrática da quantidade calculada com base em todas as respostas modais de um caso sísmico ou espectral para a direção vertical.
Rx, Ry, Rz – Coeficientes definidos para uma combinação quadrática na caixa de diálogo Definição de direção.