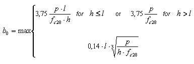
Espessura mínima

A espessura mínima de uma viga parede deve ser igual a

Se uma viga parede for suficientemente enrijecida longitudinalmente na zona superior e inferior (os elementos de enrijecimento atingirem os apoios), a primeira condição deverá cobrir adicionalmente a verificação da seguinte relação:

(p/h*fc28).