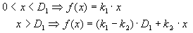
Modelo bilinear

Os seguintes parâmetros para o modelo bilinear são definidos para argumentos positivos x>0. O valor da derivada necessária para definir a rigidez também é especificado.

Função:

Derivada (rigidez):

Limitações: