Отверстия должны быть армированы арматурой двух типов.
- Горизонтальная арматура (верхняя и нижняя) рассчитывается по принципам, приведенным в нормах BAEL 91/E.5.6, в результате усреднения нагрузки "p" от воздействия всех усилий и моментов.
- В вертикальной арматуре в форме скрытых колонн внутри балки-стенки количество арматуры с одной стороны должно быть равным не менее половины арматуры всей площади отверстия. Длина арматуры, которая стыкуется вне отверстия, будет равна ls + l/2, где ls - длина анкеровки, L - ширина отверстия.
Расчет арматуры [по нормам BAEL 91/E.5.6]
Расчеты по методу арочного эффекта в проемах и отверстиях:
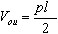
Условие:
Площадь главной горизонтальной арматуры
где
- поперечная сила по первой группе предельных состояний;
p - усилие в верхней части отверстия по первой группе предельных состояний.
Площадь opf распределенной горизонтальной арматуры A h
Эта арматура должна удовлетворять следующим условиям.
- Раскладка в нижней и верхней части отверстия по высоте должна равняться ширине отверстия.
- В поперечном сечении эта арматура должна относиться к отверстию и не имеет никакого отношения к арматуре балки-стенки.
- Арматура закрепляется по обеим сторонам вдоль длины, не меньшей, чем на 1/3 ширины отверстия.
Вертикальная арматура - подвесная А h
Эта арматура должна удовлетворять следующим условиям.
- Нужна только при возможности нагружения подвесными нагрузками в 0.75l зоны.
- Поперечное армирование, соединяющая два слоя вертикальной арматуры в стенках Аt,
- В поперечном сечении эта арматура должна относиться к отверстию и не имеет никакого отношения к арматуре балки-стенки.
- Допускается U-образная форма.
- s v - шаг арматуры должен быть равен = мин (2b o; 33 см).