Объемные конструкции в программе Robot смоделированы с использованием изопараметрических объемных конечных элементов с аппроксимацией поля перемещений, основанной на функциях формы 1-го порядка.
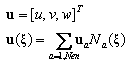
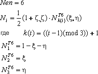
Следующие типы элементов: кирпич B8, клин B8 и тетраэдр T4. Ниже в таблице представлены функции формы и нумерация узлов, связанные с базисными трехмерными элементами.
Ссылочный элемент |
Функции формы ![]() |
---|---|
![]() |
![]() |
![]() |
![]() |
![]() |
![]() |
Описание геометрии элемента, оценка деформаций, напряжений, жесткости и матрицы масс, а также вектора силы элемента для всех перечисленных типов элементов выполнены следующим способом:
Геометрия элемента
Геометрия элемента основана на изопараметрическом отображении базисного элемента на произвольный элемент
Поля перемещений внутри элемента
Оценка деформации
где B матрица, определена как:
Производные функций формы в элементах матрицы B определены как:
Напряжения (упругий случай)
Где e о наложенные деформации (тепловое расширение и сокращение), в то время как D – образующая матрица; матрица упругих свойств D (линейно - упругий изотропный материал) представлена ниже