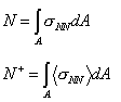
Внутренние усилия в таблице

Эквивалентные результирующие силы, доступные в таблице результатов, рассчитываются по следующим формулам:

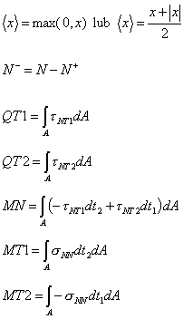
<…> - (скобки Макалея) или положительная часть операции выражается как: