Преобразование нагрузки в фиктивную массу

Предварительные замечания:

Нагрузки в подавляющем большинстве являются результатом действия сил тяжести (масс). При проведении динамических расчетов необходимо учитывать эти массы. Чтобы предоставить пользователю простое преобразование статических нагрузок (нагрузок силы тяжести) в фиктивные массы, в текстовом файле - анализаторе создана специальная команда "Активные массы" (MASses ACTive).

Указанное преобразование позволяет пользователю определять статические нагрузки только один раз - в процессе статического расчета - и затем использовать их в виде фиктивных масс вычислительной модели конструкции для выполнения любых типов динамического анализа.

Для успешного преобразования нужны два элемента. Первый – это набор направлений, в которых массы активны. Обычно используются все глобальные направления (X, Y, Z), так как только в специфических случаях силы инерции действует не по всем этим направлениям. Второй – это количество сил инерции. Оно определяется числом статических нагрузок и направлением нагрузок, которые учитываются во время преобразования. Дополнительно необходим специальный коэффициент, на который будет умножаться значение нагрузки.

Характер нагрузки автоматически преобразуются в фиктивные массы: сосредоточенные силы преобразуются в сосредоточенные массы, моменты – в моменты инерции масс, распределенные силы - в распределенные массы.

Синтаксис:

ANA [ DYN | MOD | TRAN | HAR | SEIsmic | SPEctral ], (все типы динамического расчета)

CASe (#<number> <name>)

MASess ACTive [X/Y/Z]

[X|Y|Z ] (MINus|PLus) <case_list> COEfficient=<c>

Прим.: Представленный выше синтаксис вводится только в текстовый файл и удаляется из файла данных после успешного сохранения в программе.

Основные правила:

Пусть r = r(x) - функция распределения плотности масс внутри данного элемента, а N(x) - матрица узловой интерполирующей функции (матрица функции формы). Матрица масс элемента создается в соответствии со следующей основной формулой (1) :

, (1)

где

Флаги активности общего направления устанавливаются командой MASess ACTive [X/Y/Z], т. е. любое направление активно. Эта команда - основа техники обработки масс в Robot в случае, когда некоторые компоненты сил инерции могут быть проигнорированы в процессе расчета.

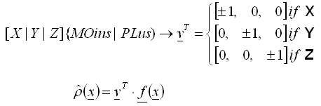
Матрица масс будет создана из всех нагрузок, относящихся ко всем вариантам нагружения, заданным в списке вариантов <case_list>, и действующих на каждый элемент/узел согласно следующим правилам:

Пример:

Рассмотрим балку, нагруженную в центре нагрузкой в виде силы тяжести Fy= - 120 кН. Пусть статическая нагрузка, показанная ниже, имеет номер 3. Чтобы рассчитать формы свободных колебаний конструкции в варианте номер 10, учитывая массу (Fx=Fy= 12 232 кг), можно использовать следующую команду:

ANA MOD=3 MAS=CON

CAS #10 modal

MASses ACTive X Y

Y MINus 3

Подробности преобразования для различных типов нагрузок.

Нагрузки, действующие на балочные элементы:

  • Распределенная нагрузка элемента.

    [Px= < px.>/Py=<py>/Pz=<pz>] (LOCal/GLObal) (PROjected) ([R=<r>])([R=<r>])

    Вектор плотности нагрузки преобразуется в основные направления, как задано формулой:

    (LOCal/GLObal) (PROjected) ([R=<r>]), учитывая флаг (PROjected) как для нагрузок, затем равные распределения масс устанавливается в соответствии с (2) (3)

  • Постоянная нагрузка.

    Нагрузка собственного веса преобразуется в массу аналогично распределенной нагрузке элементов.

    Прим.: Эта операция должна использоваться с осторожностью, так как массы, полученные из нагрузки собственного веса, автоматически учитываются в динамических расчетах (если только плотность материалов больше нуля).
  • Переменная нагрузка элементов.

    (X=<x1>)[ P=<p1>] ((JUSque)(X =<x2>)[P=<p2>] ) (R=<r>) (LOCal/GLObal) (RELative) (PROjected)

    Нагрузка преобразуется в соответствии с формулой:

    (LOCal/GLObal) (PROjected) ([R=

    затем устанавливается согласно (2)(3) распределенние масс.

    Прим.: Правило (3) включает следующую трактовку знаков для каждого компонента нагрузки отдельно , как показано на Рис.1.

    Рис.1

  • Сосредоточенная сила элемента.

    [X=<x>] [F=<f>](R=<r>) (Local)(RELative)

    Общая масса m , сосредоточенная в точке x 0 , вычисляется, исходя из общего представления вектора силы f , по формуле:

    , (4)

    Затем вычисляется согласованная матрица масс так, как если бы распределение масс было представлено дельта- функцией Дирака, сводящейся к:

    , (5)

  • Сосредоточенный момент элемента.

    [X=<x>] [F=<fc>] (R=<r>) (LOCal)(RELative)

    Так как спецификация направления сил инерции не касается направлений вращательных сил инерции, то должно быть установлено отдельное правило выполнения преобразований между сосредоточенным моментом элемента и вращательной силой инерции определенного тела, присоединенного к элементу.

    Для того, чтобы получить вектор, относящийся к системе локальных координат элемента, преобразование вектора <fc> выполняется согласно настройкам (R=<r>) (LOCal). Чтобы избежать необходимости преобразования несовместимого типа вектора, нагрузка должна быть определена как LOCal и не R=<r>, иначе будет выдано предупреждение.

    Предполагается, что глобальные координаты совпадают с главными осями инерции тела, таким образом, компоненты вектора представляют собой основные моменты инерции в глобальной системе координат. Из этого следует следующее ограничение моделирования:

    Рис. 2

    Корректная ситуация.

     

     

     

     

     

     

     

     

    Некорректная ситуация, моделирование невозможно.

  • Распределенный момент элемента.

    [M=<m>] (LOCal)

    В этой формуле <m> - вектор, который после преобразования векторного типа к системе локальных координат элемента представляет погонную плотность вращательной инерции, отнесенную к локальной оси элемента.

    Действуют все принципы, как для сосредоточенных моментов (см. Рис. 2).

Нагрузки, действующие на поверхностные элементы.

  • Распределенная нагрузка элемента.

    [Px= < px.>/Py=<py>/Pz=<pz>]

    Рассчитывается вектор плотности нагрузки, который затем преобразуется в плотность масс в соответствии с (2)(3)

  • Собственный вес конструкции.

    Нагрузка собственного веса преобразуется в эквивалентную унифицированную нагрузку и дальнейшие действия выполняются, как в предыдущем случае.

    Прим.: Эта операция должна использоваться с осторожностью, так как массы, полученные из нагрузки собственного веса, автоматически учитываются в динамических расчетах (если только плотность материалов больше нуля).
  • Переменная нагрузка элементов.

    [P=<p1>] AU <n1>( [P=<p2>AU<n2> ([P=<p3> AU<n3>))

    В каждой точке интегрирования рассчитывается плотность нагрузки, которая затем преобразуется в плотность масс согласно (2)(3), см. Рис. (1). Усиленные правила интегрирования используются для

    NGAUS = 3x3 для Q8,

     = 7 для T6,

     = 2x2 для Q4 

     = 3 для T3

  • Переменная нагрузка внутри контура.

    [P=<p1>] AU <n1>( [P=<p2>AU<n2> ([P=<p3> AU<n3>)) PROjected DIRection <v> _CONtour <l_node>

    В каждой точке интегрирования рассчитывается плотность нагрузки, которая затем преобразуется в плотность масс согласно (2)(3), см. Рис. (1). В случае, если не вся площадь элемента относится к контуру, то для достижения требуемой точности интегрирования. Внутри элемента выполняется полное автоматическое интегрирование с использованием до 100x100 точек сетки. Таким образом, применение этой опции может замедлять процесс расчета матрицы масс.

  • Переменная нагрузка вдоль линии.

    LIN

    <n1>[P=<p1>] Jusque <n2> (P=<p2>) ( [LOCal (GAMma=<gamma>)] )

    Только поступательная сила может быть преобразована в массу , распределенную вдоль линии.

    В каждом сегменте линии, пересекающей элемент, используется 3-х точечная формула интегрирования Гаусса. Вектор плотности нагрузки преобразуется к системе глобальных координат, затем в соответствии с (2)(3) строится распределение масс вдоль линии.

  • Сосредоточенная нагрузка в дополнительной точке.

    NODe (auxiliary)

    F=<f> ( [R=<r>] )

    Только поступательная сила может быть преобразована в массу элемента (для момента элемента балки - инерция вращательного преобразования позволена, а здесь запрещена). Вектор силы <f> преобразуется, если необходимо, к глобальной системе координат, затем согласно (2),(3) рассчитывается значение массы, приложенной в точке внутри элемента, далее в соответствии с (5) строится матрица масс. Элемент, к которому относится масса, находится автоматически. Элемент, к которому относится масса, находится автоматически.

Узловые нагрузки.

  • Сосредоточенная сила.

    NODe

    F=<f> ( [R=<r>] )

    Чтобы получить значение узловой массы, вектор силы <f> преобразуется согласно (2),(3).

  • Сосредоточенный момент.

    NODe

    F=<c> ( [R=<r>] )

    При определении направления сил инерции не рассматриваются направления вращательной инерции, так что для выполнения преобразования сосредоточенного узлового момента к моменту инерции определенного тела, прикрепленного к узлу, должно быть установлено отдельное правило.

    Преобразование типа вектора <fc> выполняется согласно (R=<r>) правилу получения вектора , относящегося к глобальной системе координат. Чтобы не получить недопустимый тип преобразования вектора, не должно быть ни LOCal, ни R=<r>, иначе будет выдано сообщение об ошибке.

    Предполагается, что глобальные координаты совпадают с главными осями инерции тела, таким образом, компоненты вектора представляют собой основные моменты инерции в глобальной системе координат.

    Прим.: Это правило отличается от правила, используемого в случае сосредоточенной массы, присоединенной к балочному элементу.