MVISCO (Viscoelastic Material Properties)

Description

Defines material properties for viscoelastic materials. This entry is used if a MAT1, MATHP, MATHP1 or MATHPF entry is specified with the same MID.

Format

1 2 3 4 5 6 7 8 9 10
MVISCO MID TYPE C1 C2 TREF
T1 V1 T2 V2 T3 V3 T4 V4
T5 V5

Example

MVISCO 5 1
0.25 0.5 0.5 0.25 0.75 0.1
Field Definition Type Default
MID Material identification number. Integer > 0 Required; See Remark 1
TYPE Type of viscoelastic table to be used to define the behavior:

Type 1 – Uniaxial Prony Series

Type 2 – Shear Prony Series

Type 3 – Uniaxial Test Data

Type 4 – Shear Test Data

Real > 0 0.0; See Remarks 2 and 3
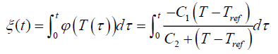
C1 Coefficient for theromorheologically simple behavior shift function. Real 0.0; See Remark 4
TREF Reference Temperature for theromorheologically simple behavior model. Real 0.0; See Remark 4
Ti Time values in the table. Real 0 0.0; See Remarks 2 and 3
Di Dependent variable values in the table. Real 0 0.0; See Remarks 2 and 3

Remarks

  1. This option looks for a elastic MAT1, MATHP, MATHP1, or MATHPF material with the same MID and augments the elastic properties to include viscoelastic effects.
  2. The TYPE parameter indicates how the table defined by the Ti, Vi values are to be interpreted.

    TYPE = 1: The table contains the raw Uniaxial Prony Series coefficients (Ti = TAUi, Di = Ei).

    TYPE = 2: The table contains the raw Shear Prony Series coefficients (Ti = TAUi, Di = Gi).

    TYPE = 3: The table contains the raw Uniaxial Test data (Ti = Timei, Di = Ei).

    TYPE = 4: The table contains the raw Shear Test data (Ti = Timei, Di = Ei).

    When test data are supplied (TYPE 3 or 4), the appropriate Prony Series coefficients are fit to the data.

  3. Enter as many lines as necessary to define the table with up to 4 pairs of Ti, Di values per line. Reading is terminated when a blank field is found, an ENDT value is found, or a new keyword line is read.
  4. The theromorheologically simple behavior shift function is defined by the Williams-Landell-Ferry approximation: