Description: Defines a set of parameters for nonlinear static analysis.
Format:
Example:
| Field | Definition | Type | Default |
|---|---|---|---|
| ID | Identification number. | Integer > 0 | Required |
| NINC | Number of increments. See Remark 2. | Integer > 0 | See Remark 2 |
| DT | Incremental time interval for creep analysis. See Remark 3. | Real ≥ 0 | 0.0 |
| KMETHOD | Method for controlling stiffness updates, one of the following character variables: AUTO, ITER, or SEMI. See Remark 4. | Character | AUTO |
| KSTEP | Number of iterations before stiffness update for the ITER method. See Remark 5. | Integer > 0 | 5 |
| MAXITER | Limit on number of iterations for each load increment. See Remark 6. | Integer > 0 or AUTO | AUTO |
| CONV | Convergence criteria, one of the following character variables: U, P, or W, or any combination. See Remark 7. | Character | PW |
| INTOUT | Intermediate output request, one of the following character variables: YES, NO, or ALL, or the load increment interval for output. See Remark 8. | Character or Integer > 0 | NO |
| EPSU | Error tolerance for displacement (U) criterion. | Real > 0.0 | See Remark 17 |
| EPSP | Error tolerance for load (P) criterion. | Real > 0.0 | See Remark 17 |
| EPSW | Error tolerance for work (W) criterion. | Real > 0.0 | See Remark 17 |
| MAXDIV | Limit on probable divergence conditions per iteration before the solution is assumed to diverge. See Remark 9. | Integer > 0 | 3 |
| MAXUBIS | Maximum number of iterations for an upward load increment adjustment. Applicable when the load increment is bisected or the adaptive load increment/convergence method is used. See Remark 16. | Integer > 0 | See Remark 16 |
| MAXLS | Maximum number of line searches for each iteration. See Remark 10. | Integer ≥ 0 | 5 |
| FSTRESS | Fraction of effective stress ( ) used to limit the subincrement size in nonlinear material routines. See Remark 11.
|
0.0 < Real < 1.0 | 0.2 |
| LSTOL | Line search tolerance. See Remark 10. | 0.01 < Real ≤ 0.9 | 0.2 |
| MAXBIS | Maximum number of bisections allowed for each load increment. See Remark 12. | Integer > 0 | 5 |
| TDG | Terminate on displacement grid point identification number. See Remark 13. | Integer > 0 | |
| TDC | Terminate on displacement component number. See Remark 13. | 0 ≤ Integer ≤ 6 or MAXT or MAXR | MAXT |
| MAXT Resultant of translation displacement components. MAXR Resultant of rotational displacement components. | |||
| TDV | Terminate on displacement value. See Remark 13. | Real | |
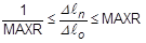
| MAXR | Maximum ratio for the adjusted arc-length increment relative to the initial value. See Remark 14. | 1.0 ≤ Real ≤ 40.0 | 20.0 |
| RTOLB | Maximum value of incremental rotation (in degrees) allowed per iteration to activate bisection. See Remark 15. | Real > 0.0 | 20.0 |
| INITINC | Initial load increment. See Remarks 2 and 16. | 0.0 < Real < 1.0 | 1/NINC |
| MININC | Minimum load increment. See Remarks 2 and 16. | 0.0 < Real < 1.0 | INITINC |
| MAXINC | Maximum load increment. See Remarks 2 and 16. | 0.0 < Real < 1.0 | INITINC |
| TTOTAL | Total time for creep analysis. See Remark 3. | Real ≥ 0 | 0.0 |
Remarks:
| Variable | Value |
|---|---|
| INITINC | 1.0E-2 |
| MININC | 1.0E-3 |
| MAXINC | 0.3 |
| INTOUT | Output Processed |
|---|---|
| YES | For every computed load increment excluding bisected and quadsected load increments |
| NO | For the last load of the subcase |
| ALL | For every computed load increment including bisected and quadsected load increments |
| n | For computed load increments n , 2 * n , 3 * n ,…, and the last converged increment |
, i.e.,
Depending on the divergence rate, the number of diverging iterations (NDIV) is incremented as follows:
or
, then NDIV = NDIV + 2
, then NDIV = NDIV + 1
The solution is assumed to diverge when NDIV ≥ MAXDIV. If the solution diverges and the load increment cannot be further bisected (i.e., MAXBIS is attained), execution terminates with a fatal error.
(equivalent stress).
where
is the arc-length at step
n and
is the original arc-length. The arc-length method for load increments is selected by an
NLPCI Bulk Data entry. This entry must have the same ID as the NLPARM Bulk Data entry.
exceeds the value specified by RTOLB. This bisection strategy is based on the incremental rotation and controlled by MAXBIS.
| NLTOL | Level of Accuracy | EPSU | EPSP | EPSW |
|---|---|---|---|---|
| 0 | Very High | 1.0E-3 | 1.0E-3 | 1.0E-6 |
| 1 | High | 1.0E-2 | 1.0E-2 | 1.0E-4 |
| 2 | Engineering | 1.0E-2 | 1.0E-2 | 1.0E-3 |
| 3 | Preliminary Design | 1.0E-1 | 1.0E-1 | 1.0E-2 |
| Default | Engineering | 1.0E-2 | 1.0E-2 | 1.0E-3 |
| NLTOL | Level of Accuracy | EPSU | EPSP | EPSW |
|---|---|---|---|---|
| 0 | Very High | 1.0E-4 | 1.0E-4 | 1.0E-8 |
| 1 | High | 5.0E-4 | 5.0E-4 | 1.0E-8 |
| 2 | Engineering | 5.0E-4 | 5.0E-4 | 1.0E-7 |
| 3 | Preliminary Design | 1.0E-3 | 1.0E-3 | 1.0E-6 |
| Default | Engineering | 5.0E-4 | 5.0E-4 | 1.0E-7 |
| NLTOL | Level of Accuracy | EPSU | EPSP | EPSW |
|---|---|---|---|---|
| 0 | Very High | 1.0E-3 | 1.0E-3 | 1.0E-6 |
| 1 | High | 1.0E-3 | 1.0E-3 | 1.0E-5 |
| 2 | Engineering | 5.0E-3 | 5.0E-3 | 1.0E-4 |
| 3 | Preliminary Design | 5.0E-3 | 5.0E-3 | 1.0E-4 |
| Default | Engineering | 5.0E-3 | 5.0E-3 | 1.0E-4 |
| NLTOL | Level of Accuracy | EPSU | EPSP | EPSW |
|---|---|---|---|---|
| 0 | Very High | 1.0E-3 | 1.0E-3 | 1.0E-6 |
| 1 | High | 1.0E-3 | 1.0E-3 | 1.0E-6 |
| 2 | Engineering | 1.0E-3 | 1.0E-3 | 1.0E-6 |
| 3 | Preliminary Design | 1.0E-3 | 1.0E-3 | 1.0E-6 |
| Default | Engineering | 1.0E-3 | 1.0E-3 | 1.0E-6 |