這些公式用於解析帶有多個支撐與負載的軸 (帶有一個或多個剖面) 或樑 (帶有一個固定剖面)。
軸/樑軸線與 Z 軸對齊。如果材料密度的影響包括在計算中,則重力向量與 Y 軸線對齊。
剪力:
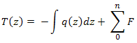
彎矩:
撓曲角度:
其中:
|
E |
拉力彈性係數 |
|
|
J |
慣性矩 |
|
|
G |
剛性係數 |
|
| β |
剪位移比率 |
撓曲:
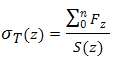
彎曲應力:
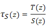
剪切應力:
扭轉應力:
拉伸應力:
等效應力:
其中:
| σ B | 彎曲應力 | |
| σ T |
拉伸應力 |
|
| τ | 扭轉應力 | |
| τ S | 剪切應力 | |
| α | 對於 HMH,α = 3 | |
| 對於 Tresca-Guest,α = 4 |
範例計算
彈性係數 E = 210 000 MPa
剛性係數 G = 81 000 MPa
剪位移比率 β = 1.118
等效應力的模式:HMH
不包括材料密度。
支撐力:
最大剪切應力:
最大扭轉應力:
最大力矩:
最大彎曲應力:
最大等效應力:
扭轉角度: