編輯自訂展開方程式

使用自訂方程式精確指定您要如何在摺疊板金零件模型中描述對折彎區間的展開。

板金零件依其摺疊或功能狀態進行定義,但由平板製成。展開以形成展開圖的折彎在折彎區間會變形材料。變形量取決於某些變數。將摺疊模型轉變到展平狀態需要使用以下三種方法之一來考慮此變形:

自訂方程式在使用「型式與標準編輯器」對話方塊定義的具名展開規則中進行定義。

折彎補償類型

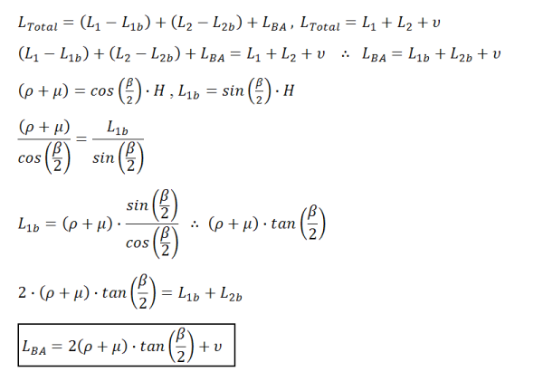
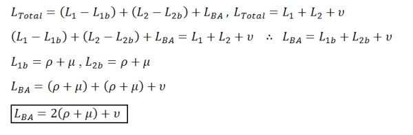
您可以使用折彎補償方程式來確定總延長長度:

其中:
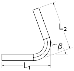
  • . 為總延長長度。
  • . 為從第一個詳面到虛角的長度。
  • . 為從第二個詳面到虛角的長度。
  • . 為折彎裕度計算的結果。Inventor 使用以下方程式計算折彎裕度。對於 的角度案例,Inventor 會使用方程式 ,其中:
    • . 為折彎角度。
    • . 為折彎裕度長度。
    • . 為折彎板內徑。
    • . 為板厚度。
    • . 為折彎裕度計算的結果。

展開原始方程式以包括折彎裕度計算會導致:

對於 的角度案例,會使用以下方程式:

展開原始方程式以包括折彎裕度計算會導致:

折彎裕度確定之後,可以使用以下內容導出 K 係數:

折彎減除類型

使用折彎減除方程式來確定總延長長度:

其中:
  • . 為總延長長度。
  • . 為從第一個詳面到虛角的長度。
  • . 為從第二個詳面到虛角的長度。
  • . 為折彎裕度計算的結果。

折彎減除方程式提供與折彎補償方式直接相反的計算方式。

對於折彎減除,Inventor 會使用以下方程式計算折彎裕度。

對於角度案例:

方程式為 ,其中:
  • . 為折彎角度。
  • . 為折彎裕度長度。
  • . 為折彎板內徑。
  • . 為板厚度。
  • . 為折彎裕度計算的結果。

對於 的角度案例,使用的方程式為:

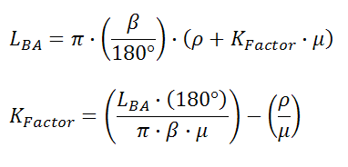
折彎裕度類型

使用折彎裕度方程式 來確定總延長長度,其中:
  • . 為總延長長度。
  • . 為第一個折彎板的長度。
  • . 為第二個折彎板的長度。
  • . 為折彎裕度計算的結果。

會提供用於直接解析折彎裕度的定義的方程式。K 係數可從以下方程式中導出:

K 係數類型

使用 K 係數方式確定總計延長長度可使用方程式。

其中:
  • . 為總延長長度。
  • . 為第一個折彎板的長度。
  • . 為第二個折彎板的長度。
  • . 為折彎裕度計算的結果。

您可以利用下列方程式來計算折彎裕度﹕

編輯自訂展開方程式

編輯具名展開規則時,您可以定義四種類型的自訂方程式。

在「型式與標準編輯器」上選取的方程式類型決定著用於定義方程式左側的變數。「方程式編輯」對話方塊上的字元插入鍵可以為角度、半徑、厚度和 Pi 提供按一下的插入功能。

先由在「型式與標準編輯器」對話方塊上選取的方程式類型定義變數類型,然後再開啟「方程式編輯器」對話方塊。

  1. 在「型式與標準編輯器」對話方塊中,當選取的展開方式為「自訂方程式」時,請按兩下「自訂方程式」儲存格,此儲存格位於您要為其定義自訂方程式之邊界條件的左側。
  2. 在「方程式編輯」對話方塊中,輸入用於定義方程式輸入方塊外側所示變數的方程式:
    • . 將測量的角度變數插入至自訂展開方程式。
    • . 將測量的內徑變數插入至自訂展開方程式。
    • . 將測量的厚度變數插入至自訂展開方程式。
    • . 將 Pi 的數學值插入至自訂展開方程式。
    • 方程式輸入欄位會接受鍵盤輸入,以定義自訂展開方程式。
  3. (可選) 若要變更自訂方程式所求解的變數類型,請按一下「取消」,然後在「型式與標準編輯器」對話方塊上選取正確的方程式類型。

編輯自訂展開方程式邊界條件

透過使用「邊界編輯」對話方塊來指定邊界條件,您可以為角度、半徑或厚度範圍定義展開方程式。

  1. 在「型式與標準編輯器」對話方塊中選取「自訂方程式」做為展開方式時,請於您要為其定義邊界條件之自訂方程式的右側,按兩下「邊界條件」儲存格。
  2. 在「邊界編輯」對話方塊中,於下拉式清單的上方列中,選取等式運算子和範圍類型,以建立用於指定角度、厚度或半徑範圍的方程式。
  3. 在下方列中,於左側和右側方塊中,輸入邊界條件限制值。