傳遞的扭矩
其中:
|
P |
功率 [kW] |
|
|
n |
速度 [rpm] |
計算最小軸直徑
1. 軸內徑 d h > 0
a)
b) 如果 d min ≤d h -> d min = 1.1 d h [mm]
c) 如果 d min ≤ 1.5 d h -> d min = 1.5 d h [mm]
2. 軸內徑 d h = 0

其中:
|
d min |
最小軸直徑 [mm] |
|
|
d h |
軸內徑 [mm] |
|
|
T |
扭矩 [Nm] |
|
|
K a |
應用係數 |
|
|
K f |
疲勞壽命係數 |
|
|
S v |
理想的安全度 |
|
|
τ A |
允許的剪應力 |
一般計算
|
|
軸上的作用力範圍 |
|
h k = h - h s - 2 s [mm] |
輪轂上的作用力範圍 |
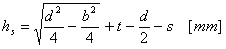
![]() |
作用力範圍的軸直徑 |
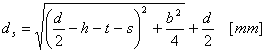
![]() |
作用力範圍的輪轂直徑 |
|
|
軸上的力 |
|
|
輪轂上的力 |
|
其中: |
|
T |
扭矩 [Nm] |
|
|
F s |
軸上的力 [N] |
|
|
F h |
輪轂上的力 [N] |
|
|
K a |
應用係數 |
|
|
K f |
磨損壽命係數 |
|
|
K w |
應用係數 |
|
|
K m |
負載分配係數 |
|
|
S v |
理想的安全度 |
|
|
d |
軸直徑 [mm] |
|
|
d s |
力 F s 啟用處的軸直徑 [mm] |
|
|
d h |
力 F d 啟用處的軸直徑 [mm] |
|
|
N |
槽數目 [-] |
|
|
h |
起槽高度 |
|
|
h s |
軸上力的作用點高度 [mm] |
|
|
h h |
輪轂上力的作用點高度 [mm] |
|
|
b |
槽寬度 |
|
|
t |
軸中槽的深度 [mm] |
|
|
s |
「倒角」 |
|
|
p Dmins |
允許的最小壓力 (槽,軸) [MPa] |
|
|
p Dminh |
允許的最小壓力 (槽,輪轂) [MPa] |
轉換扭矩的最小鍵長
|
1. 固定接頭: |
a) |
|
b) |
|
|
L min = min(L mins , L minh ) |
|
|
2. 彈性接頭: |
a) |
|
b) |
|
|
L min = min(L mins , L minh ) |
|
|
其中: |
|
F s |
軸上的力 [N] |
|
|
F h |
輪轂上的力 [N] |
|
|
K a |
應用係數 |
|
|
K f |
磨損壽命係數 |
|
|
K w |
應用係數 |
|
|
K m |
負載分配係數 |
|
|
S v |
理想的安全度 |
|
|
d |
軸直徑 [mm] |
|
|
N |
槽數目 [-] |
|
|
h s |
軸上力的作用點高度 [mm] |
|
|
h h |
輪轂上力的作用點高度 [mm] |
|
|
p Dmins |
允許的最小壓力 (槽,軸) [MPa] |
|
|
p Dminh |
允許的最小壓力 (槽,輪轂) [MPa] |
允許的最小壓力
|
1. 固定接頭: |
a) |
|
b) |
|
|
2. 彈性接頭: |
a) |
|
b) |
|
|
其中: |
|
F s |
軸上的力 [N] |
|
|
F h |
輪轂上的力 [N] |
|
|
K a |
應用係數 |
|
|
K f |
磨損壽命係數 |
|
|
K w |
應用係數 |
|
|
K m |
負載分配係數 |
|
|
S v |
理想的安全度 |
|
|
d |
槽剖面的內部直徑 [mm] |
|
|
N |
槽數目 [-] |
|
|
h s |
軸上力的作用點高度 [mm] |
|
|
h h |
輪轂上力的作用點高度 [mm] |
|
|
l f |
有效鍵長度 [mm] |
強度檢查
p mins ≤ p Ds
p minh ≤ p Dh
其中:
|
p mins |
軸中最小的計算剪力壓力 [MPa] |
|
|
p minh |
輪轂中最小的計算剪力壓力 [MPa] |
|
|
p Ds |
桿中容許的壓力 [Mpa] |
|
|
p Dh |
輪轂中容許的壓力 [Mpa] |
簡化的計算
轉換扭矩的最小鍵長
|
1. 固定接頭: |
![]() |
|
2. 彈性接頭: |
![]() |
|
其中: |
|
T |
扭矩 [Nm] |
|
|
K a |
應用係數 |
|
|
K f |
磨損壽命係數 |
|
|
K w |
應用係數 |
|
|
K m |
負載分配係數 |
|
|
S v |
理想的安全度 |
|
|
d |
軸直徑 [mm] |
|
|
N |
槽數目 [-] |
|
|
h |
起槽高度 |
|
|
s |
「倒角」 |
|
|
h st |
接頭高度 h st = h - 2 s [mm] |
|
|
p Dmin |
軸、槽或輪轂的支撐面上允許的壓力 [MPa] |
允許的壓力
|
1. 固定接頭: |
![]() |
|
2. 彈性接頭: |
![]() |
|
其中: |
|
T |
扭矩 [Nm] |
|
|
K a |
應用係數 |
|
|
K f |
磨損壽命係數 |
|
|
K w |
應用係數 |
|
|
K m |
負載分配係數 |
|
|
S v |
理想的安全度 |
|
|
d |
軸直徑 [mm] |
|
|
N |
槽數目 [-] |
|
|
h |
起槽高度 |
|
|
s |
「倒角」 |
|
|
h st |
接頭高度 h st = h - 2 s [mm] |
|
|
l f |
有效鍵長度 [mm] |
強度檢查
p min ≤ p Ds
p min ≤ p Dh
其中:
|
p min |
計算的最小 h/2 壓力 [MPa] |
|
|
p Ds |
桿中容許的壓力 [Mpa] |
|
|
p Dh |
輪轂中容許的壓力 [Mpa] |