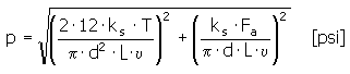
接觸壓力
最小輪轂長度
建議值:L = (0.6 - 3) d
單一螺栓承受的力
強度檢查
p ≤ p A
其中:
|
F a |
軸向力 [lb] |
|
|
T |
扭矩 [lb ft] |
|
|
d |
軸直徑 [in] |
|
|
p |
接合中的接觸壓力 [psi] |
|
|
p A |
允許的壓力 [psi] |
|
|
L |
輪轂長度 [in] |
|
| υ |
鉗緊係數 υ = 0.008 至 0.1 [-] |
|
|
k s |
滑動安全 [-] |
|
|
F |
單一螺栓承受的力 [lb] |
|
|
F s |
所有螺栓承受的力 [lb] |
|
|
i |
螺栓總數 [-] |