顯式分析不支援此材料類型。從「類型」下拉式清單中選取「正交性 3D」之後,將可使用以下材料區段:「一般」、「剛性」、「剪切」、「蒲松氏比」、「熱膨脹」、「容許值」和「熱」。
材料穩定性需要:
如果未滿足任一條件,則會發出警告訊息。
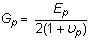
可能難以找到所有九個正交性常數。在某些實際問題中,材料性質可能會簡化為一般的各向異性,其中材料是平面中的等向性材料 (亦即,平面 1-2),並在此平面的法線方向具有不同性質。在等向性的平面中,性質會減少為:
包含
和
。
一般各向異性有五個獨立材料常數 (亦即,
、
、
、
、
和
)。在材料具有平面各向異性的情況 (其中材料只是平面中的正交性) 下,彈性常數會減少為七個 (亦即,
、
、
、
、
、
和
)。
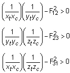
這會在使用此理論時產生複雜化。因此,建議將 F12、F23 和 F31 設定為零。
若為熱分析,您可以在「熱」區段下輸入傳導係數矩陣、比熱、質量密度的值。質量密度會重複,因為它可能是熱分析以及結構分析中的必要項目。