「層壓板」選項可讓您定義複合層壓板性質。按一下「物理屬性」對話方塊中的「新層壓板」按鈕;或在模型樹中以滑鼠按一下「複合材料層合板\層壓板」,然後從關聯式功能表中選擇「新建」。「層壓板」對話方塊即會開啟。
- 「層選項」可讓您:
- 加入:加入層。
- 材料:定義新材料。
- 整體層:定義整體層,如下圖所示。
- 向上:將選取的層上移一步。
- 向下:將選取的層下移一步。
- 對稱:建立選取層的對稱層。
- 反對稱:建立選取層的反對稱層。
- 退回:退回執行的作業。
- 重做:重做執行的作業。
- 刪除:刪除選取的層。
- 剪下:剪下選取的層。
- 複製:複製選取的層。
- 貼上:貼上剪下或複製的層。
- 匯入:匯入 CSV 格式的層詳細資料。
- 匯出:匯出 CSV 格式的層詳細資料。
- 重複:可讓您為選取的層建立多個層。
- 使用整體層:可讓您啟用「整體層」欄。
- 材料層合板:可讓您將層從「材料層合板底部」翻轉為「材料層合板頂部」。它可在視覺上翻轉層。匯出的 Nastran 檔案永遠為材料層合板底部格式。
- 在「層選項」中按一下「加入」開始第一個層定義。此層將會是材料層合板的最底層。
- 層 ID:複合物的每一層都有唯一的 ID。在此對話方塊中建立這些層時,Inventor Nastran 會自動產生這些 ID。您無法變更這些 ID。
- 材料:每一層都可以有不同的材料。若要從此下拉式功能表中選取材料,必須在「材料」下預先定義。
- 厚度:每一層都可以有自己的厚度值。
- 角度:這是層方位角。這是相對於材料配向角度所測量的角度。零角度層會與材料方位對齊。
- 應力/應變:可讓您將每一層設定為「開啟」或「關閉」,來控制每一層的應力輸出。
-
層壓板性質:
- 層壓板選項:可讓您定義不同形式的層壓板,例如 SYM、HCS、FCS、ACS、SME 或 SMC。
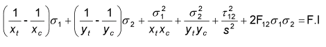
- 如果 LAM = SYM,則僅指定元素中心線一側的層。這些層會從底層由 1 開始編號。如果需要奇數的層且 LAM = SYM,則中心層厚度 (Ti) 應為實際厚度的一半。
- 如果 LAM = HCS、LAM = FCS 或 LAM = ACS,則會基於面圖紙穩定性索引輸出的原因而定義複合夾板。HCS 會指定蜂窩公模仁材料、FCS 指定成形公模仁材料,ACS 則會根據指定的公模仁材料選取 HCS 或 FCS。
- 如果 LAM = SME,則會塗抹層效果並忽略堆疊順序。如果 LAM = SMC,則會使用對等正交性性質定義複合夾板。
- 失效理論:層失效理論。以下理論是允許的。如果為空,則不會執行失效計算。Hill 設定為預設的失效理論。
- HILL 為 Hill 理論。
正交性材料具有相等的張力和壓縮強度。
- HOFF 為 Hoffman 理論。
平面應力一般狀態下的正交性材料應力,其抗拉強度和壓縮強度並不相等。
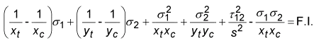
- TSAI 為 Tsai-Wu 理論。
平面應力一般狀態下的正交性材料應力,其抗拉強度和壓縮強度並不相等。
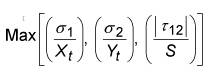
- 最大應力為最大應力理論。
- 最大應變為最大應變理論。
- LARC02 為 NASA LaRC 理論。
平面應力一般狀態下的正交性材料由單向層所組成。如需更多詳細資料,請參閱《Autodesk Nastran 使用手冊》的〈參考 5〉。
- PUCK 為 Puck PCP 理論。
平面應力一般狀態下的正交性材料由單向層所組成。如需更多詳細資料,請參閱《Autodesk Nastran 使用手冊》的〈參考 12〉和〈參考 13〉。
- 強度比率:控制 Tsai 強度比率的輸出,提供來取代複合元素層結果輸出的失效索引。設定為「開啟」時,可讓您定義參數 PARAM,STRENGTHRATIO,ON,並計算 Tsai 強度比率。一般認為強度比率比失效索引更為有用,因為它可精確地指出如何變更套用的負載以達到最佳層效能。
- 容許的連接剪應力:此值定義黏合材料的層間剪應力。您需要此值才能取得「黏合失效索引」輸出。
- 底部纖維距離:預設表示總厚度的一半。您可以勾選左邊的方塊並將新值輸入右邊的方塊以變更該值。
- GE (阻尼係數):此值定義結構元素阻尼係數,是在動態分析中使用之臨界阻尼比
的兩倍。已規劃在更高版本中支援。
- NSM:可讓您定義每單位面積的非結構質量。
(參考溫度):此值可定義要用於依溫度而定之材料性質的複合層 (所有層) 參考溫度。更高版本將支援此功能。
(總厚度):顯示層壓板中指定的總厚度。
層建立技巧:
- 有許多方法可以方便地定義不同的層性質。
- 對第一列,按一下「加入」,按一下該列的「材料」欄,選取一種材料。系統會自動載入其餘欄的預設值。
- 現在選取層 ID 1。
- 在重複按鈕旁邊的方塊中顯示 2 時 (預設為 1),按一下「重複」按鈕。第一列會複製兩次。下圖說明產生的結果。
- 變更角度為 45、0 和 -45 (從上到下)。
- 現在選取所有層。然後按一下「對稱」按鈕。
- 這將產生所選層的鏡射列。
- 下圖說明產生的結果。
- 同樣地,反對稱也會產生鏡射的列,但層角度的符號相反。
- 您可以選取多個層,在欄位上按一下右鍵以變更。然後選取「編輯」。
- 變更任何層的個別性質,所有對應的性質將會立即變更。
「層壓板」對話方塊範例: