|
|
Pro každou řemenici |
|
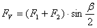
F 2 - F 1 + F p = 0 |
|
|
|
|
|
|
|
|
|
Pro hnací řemenici
|
|
v ≤ v max |
|
|
f b ≤ f max |
F c = mv 2
F Tmax = k 1 F p + F c
F 1 = F tmax
F 2 = F 1 - F p
Pro jednotlivé hnané řemenice a volné kladky
index i řemenice
F Pi = P xi F p
F 1i = F 2i-1
F 2i = F 1i + F p i
kde:
pro synchronní řemenici
pro plochou řemenici
Pro kompletní pohon řemene
Požadované napětí při instalaci řemene je určeno silami působícími na hnací řemenici, a to následovně
Příklad převodu s volnou kladkou
|
Hnací řemenice |
Plochá volná kladka |
Hnaná řemenice |
|
P x1 = 1 |
P x2 = 0 |
P x3 = 1 |
|
|
|
F P3 = P x3 F p |
|
|
|
|
|
|
|
|
|
|
F 12 = F 21 |
|
|
|
F 22 = F 12 + F p2 = F 12 |
|
|
F c = m v 2 |
|
|
|
F Tmax = k 1 F p + F C |
- |
F 13 = F 22 |
|
F 11 = F Tmax |
- |
F 23 = F 13 + F p3 = F 11 |
|
F 21 = F 11 - F p |
- |
|
|
|
- |
- |
Význam použitých proměnných:
|
F p |
Účinný tah [N] |
|
F 1 |
Napětí řemenu na vstupní straně dané řemenice [N] |
|
F 2 |
Napětí řemenu na výstupní straně dané řemenice [N] |
|
z |
Počet zubů dané řemenice / Počet zubů řemenu [-] |
| β |
Úhel opásání / úhel sklonu zubů [stupně] |
|
P |
výkon k přenosu [W] |
|
P R |
Přenášený výkon řemenu pro dané uspořádání převodu [W] |
|
c L |
Součinitel dynamičnosti [-] |
| β |
Úhly opásání [stupně] |
|
T |
Působící krouticí moment na dané řemenici [Nm] |
|
n |
Rychlost dané řemenice [ot/min] |
|
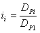
D p |
Roztečný průměr řemenice [m] |
|
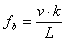
v |
Rychlost řemenu [m/s] |
|
k |
Počet řemenic v řemenovém převodu [-] |
|
L |
Roztečná délka řemene [m] |
|
P |
výkon určený k přenosu [W] |
|
m |
Měrná hmotnost řemenu pro danou šířku [Kg/m] |
|
k 1 |
Koeficient napětí řemenu [-] |
|
F p |
Účinný tah [N] |
|
F c |
Odstředivá síla [N] |
|
F t |
Minimální napětí řemenu při instalaci [N] |
|
P xi |
Poměr výkonu dané řemenice [-] |
|
D pi |
Roztečný průměr řemenice [m] |
|
i |
Převodový poměr (poměr otáček) dané řemenice [-] |
|
T i |
Působící krouticí moment na dané řemenici [Nm] |
| η |
Účinnost [-] |
|
p b |
Obvodová rozteč [m] |
|
D |
Jmenovitý průměr ploché řemenice [m] |
|
H |
Výška řemenu [m] |
|
h T |
Výška zubu řemenu [m] |
|
a |
Odsazení roztečné čáry [m] |