Im Bauwesen werden verschiedene Arten von Übergangsbogen verwendet, um Krümmungen und Querneigung zwischen Tangenten und kreisförmigen Bogen sowie zwischen zwei kreisförmigen Bogen mit verschiedenen Krümmungen einzuführen.
In seiner Beziehung zu anderen Tangenten und Bogen ist jeder Übergangsbogen entweder ein Einwärtsbogen oder ein Auswärtsbogen.
Die beiden von Ingenieuren beim Entwerfen und Einrichten eines Übergangsbogens am häufigsten verwendeten Parameter sind L (Übergangsbogenlänge) und R. Der Parameter R bezieht sich auf den Krümmungsradius an einem Ende des Übergangsbogens. R1 und R2 können verwendet werden, um zwischen dem Radius am Anfang und Ende des Übergangsbogens zu unterscheiden.
Die folgende Abbildung zeigt die verschiedenen Parameter eines Übergangsbogens:
| Übergangsbogenparameter | Beschreibung |
| R1 | Der Radius von Bogen 1. |
| R2 | Der Radius von Bogen 2. |
| SS | Die Anfangsposition des Übergangsbogens. |
| SE | Die Endposition des Übergangsbogens. |
| SP | Der Übergangspunkt an der Bogenlänge l. |
| Θ | Der zentrale Winkel am Übergangspunkt bei Bogenlänge l. |
| L | Die Bogenlänge von der Übergangsbogen-Startposition entlang des Übergangsbogens. |
| L | Gesamtbogenlänge des Übergangsbogens zwischen den Anfangs- und Endpositionen des Übergangsbogens. |
Zusammengesetzte Übergangsbogen ermöglichen einen Übergang zwischen zwei Kreisbogen mit unterschiedlichen Radien. Es gibt zwei zusammengesetzte Übergangsbogen: einfach und zusammengesetzt. Ein zusammengesetzter Übergangsbogen besteht aus einem Bogen, der aus zwei einfachen Übergangsbogen besteht. Er enthält zwei Stränge, von denen jeder ein einfacher Übergangsbogen ist und die Tangente kontinuierlich mit dem angrenzenden Übergangsbogen verbindet. Dadurch wird die Kontinuität der Krümmungsfunktion gewährleistet und die Möglichkeit gegeben, einen Übergang in eine Querneigung einzufügen.
Autodesk Civil 3D unterstützt verschiedene Arten von Übergangsbogen. Der Klothoide-Übergangsbogen ist jedoch die am häufigsten verwendete Art des Übergangsbogens. Der Cornu-Übergangsbogen wird weltweit in der Spurkonstruktion von Straßen und Eisenbahnschienen verwendet.
Der Schweizer Mathematiker Leonard Euler fand als Erster heraus, dass die Krümmungsfunktion der Klothoide eine lineare Funktion ist, bei der die Krümmung als Funktion der Länge, an der der Übergangsbogen die Tangente berührt, dem Wert null (0) entspricht. Danach steigt die Krümmung linear an, bis sie am Berührungspunkt von Übergangsbogen und Bogen mit dem Krümmungsgrad des angrenzenden Bogens übereinstimmt.
Im Gegensatz zum einfachen Bogen bleibt hier auch die Kontinuität der lokalen Krümmung erhalten. Dies wird für Fahrzeuge bei höheren Geschwindigkeiten immer wichtiger.
Formel
Klothoide Übergangsbogen können mit den folgenden Formeln ausgedrückt werden:
Ebenheit des Übergangsbogens:
Gesamtwinkel von Übergangsbogen:
Tangentenabstand am Punkt Übergangsbogen-Bogen vom Punkt Tangente-Übergangsbogen:
Tangentenversatzabstand am Punkt Übergangsbogen-Bogen zum Punkt Tangente-Übergangsbogen:

Anstelle der Klothoide kann der Blossbogen-Übergangsbogen als Übergang verwendet werden. Dieser Übergangsbogen hat gegenüber der Klothoide den Vorteil, dass der Versatz P kleiner und der Übergang daher länger sowie die Spiralverlängerung (K) größer ist. Dies ist ein wichtiger Faktor bei der Konstruktion von Eisenbahnschienen.
Formel

Andere wichtige Ausdrücke:
Tangentenabstand am Punkt Übergangsbogen-Bogen vom Punkt Tangente-Übergangsbogen:

Tangentenversatzabstand am Punkt Übergangsbogen-Bogen zum Punkt Tangente-Übergangsbogen:
Diese Bogen stellen einen konsistenten Krümmungsverlauf dar und können Übergänge zwischen 0 und 90 Grad an Tangentenabschrägungen aufweisen. Sinusoide werden jedoch nicht häufig verwendet, weil ihr Verlauf steiler als der von Übergangsbogen ist. Dies erschwert das Tabellarisieren und Abstecken.
Formel

Wobei r der Radius der Krümmung an einem beliebigen Punkt ist.
Diese Art der Gleichung wird für gewöhnlich in Japan beim Entwurf von Eisenbahnschienen verwendet. Dieser Bogen wird in Situationen verwendet, in denen Sie einen effizienten Übergang für die Änderung der Krümmung für niedrige Abschrägungswinkel (im Bezug auf die Fahrzeugdynamik) benötigen.
Formel
Gedämpfte sinusförmige Halbwellen-Tangentenbogen können folgendermaßen ausgedrückt werden:
Wobei
gilt und x die Entfernung vom Anfangspunkt zu einem beliebigen Punkt des Bogens ist. X wird entlang der Anfangstangente (Tangentenlänge zwischen Tangentenschnittpunkten) gemessen und entspricht dem X-Gesamtwert am Ende des Übergangsbogens.
Andere wichtige Ausdrücke:
Tangentenabstand am Punkt Übergangsbogen-Bogen vom Punkt Tangente-Übergangsbogen:

Tangentenversatzabstand am Punkt Übergangsbogen-Bogen zum Punkt Tangente-Übergangsbogen:

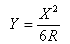
Kubische Parabeln konvergieren weniger schnell als kubische Parabeln (Japan). Dies führt dazu, dass sie häufig bei der Konstruktion von Bahnstrecken und Straßen eingesetzt werden.
Formel
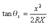
Mindestradius von kubischen Parabeln
Wobei gilt: Θ= Der zentrale Winkel am Übergangspunkt an der Bogenlänge
.
Siehe Diagramm oben als Referenz.
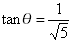
Eine kubische Parabel erreicht den Mindestwert für r bei:
Also gilt:
Der Radius einer kubischen Parabel verringert sich von unendlich bis auf
bei 24 Grad, 5 Minuten, 41 Sekunden und vergrößert sich von diesem Punkt aus wieder. Aus diesem Grund sind kubische Parabeln für Abschrägungen von mehr als 24 Grad ungeeignet.
Dieser Übergang wurde für japanische Anforderungen entwickelt. Die entwickelten Näherungspunkte der Klothoide können in Situationen verwendet werden, in denen Sie einen kleinen Abschrägungswinkel oder einen großen Radius unterbringen müssen. Eine dieser für den Entwurf in Japan verwendeten Näherungen wird Kubische Parabel (Japan) genannt.
Formel
Kubische Parabeln (Japan) können ausgedrückt werden als:
Wobei X = Tangentenabstand am Punkt Übergangsbogen-Bogen zum Punkt Tangente-Übergangsbogen
Diese Formel kann auch ausgedrückt werden als:

Wobei
der zentrale Winkel des Übergangsbogens ist (abgebildet als i1 und i2)
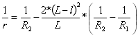
Andere wichtige Ausdrücke:
Tangentenabstand am Punkt Übergangsbogen-Bogen vom Punkt Tangente-Übergangsbogen:

Tangentenversatzabstand am Punkt Übergangsbogen-Bogen zum Punkt Tangente-Übergangsbogen:
Dies ist ein Typ einer modifizierten kubischen Parabel zur Erfüllung der Anforderungen der Normen von New South Wales (Australien).
Formel
NSW Kubische Parabel kann wie folgt ausgedrückt werden:
Schrammbogen verfügen über niedrige Werte in Bezug auf die vertikale Beschleunigung. Sie enthalten zwei Parabeln zweiten Grades, deren Radii als Funktion der Bogenlänge variieren (l).
Einfache Bogenformel
Krümmung der ersten Parabel:
für
Krümmung der zweiten Parabel:
für
Dieser Bogen wird mithilfe der benutzerdefinierten Länge (L) des Übergangsbogens angegeben.
Formeln für Pufferelement gleichsinnig
Krümmung der ersten Parabel:
für
Krümmung der zweiten Parabel:
für