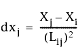
Die Änderung der Koordinaten für jede Beobachtung wird in den folgenden Taylor-Approximationen der Gleichung für Azimut-/Quadrantenwinkel-Beobachtungen ausgedrückt:


und


Dabei gilt:
Die folgende Abbildung zeigt die Geometrie der Gleichung für die Azimut-/Quadrantenwinkel-Beobachtung:
