Übertragenes Drehmoment
Dabei gilt:
|
P |
Übertragene Leistung [kW] |
|
|
n |
Drehzahl [min -1 ] |
Druck auf die tragende Fläche der Nut
1. Innendurchmesser der Welle d h > 0
a)
b) wenn d min ≤ d h -> d min = 1.1 d h [mm]
c) wenn d min ≤ 1.5 d h -> d min = 1.5 d h [mm]
2. Innendurchmesser der Welle d h = 0
Dabei gilt:
|
d min |
Minimaler Wellendurchmesser [mm] |
|
|
d h |
Innendurchmesser der Welle [mm] |
|
|
T |
Drehmoment [Nm] |
|
|
K a |
Anwendungskoeffizient |
|
|
K f |
Gebrauchsermüdungskoeffizient |
|
|
S v |
Angestrebte Sicherheit |
|
|
τ Al |
Zulässige Scherspannung |
Minimale Länge der Kerbverzahnungen zum Übertragen des Drehmoments
|
1. Feste Verbindung: |
![]() |
|
2. Flexible Verbindung: |
![]() |
|
Dabei gilt: |
|
T |
Drehmoment [Nm] |
|
|
K a |
Anwendungskoeffizient |
|
|
K f |
Gebrauchsabnutzungskoeffizient |
|
|
K w |
Anwendungskoeffizient |
|
|
K m |
Koeffizient für Lastverteilung |
|
|
S v |
Angestrebte Sicherheit |
|
|
d s |
Mittlerer Durchmesser = (D + d) / 2 [mm] |
|
|
D |
Außendurchmesser des Nutquerschnitts [mm] |
|
|
d |
Innendurchmesser des Nutquerschnitts [mm] |
|
|
N |
Anzahl der Nuten [-] |
|
|
h |
Höhe der Nut = (D - d) / 2 [mm] |
|
|
s |
Fase |
|
|
h st |
Verbindungshöhe h st = h - 2 s [mm] |
|
|
p Dmin |
Zulässiger Druck auf die tragende Fläche von Welle oder Nut [MPa] |
Zulässiger Druck
|
1. Feste Verbindung: |
![]() |
|
2. Flexible Verbindung: |
![]() |
|
Dabei gilt: |
|
T |
Drehmoment [Nm] |
|
|
K a |
Anwendungskoeffizient |
|
|
K f |
Gebrauchsabnutzungskoeffizient |
|
|
K w |
Anwendungskoeffizient |
|
|
K m |
Koeffizient für Lastverteilung |
|
|
S v |
Angestrebte Sicherheit |
|
|
d s |
Mittlerer Durchmesser = (D + d) / 2 [mm] |
|
|
D |
Außendurchmesser des Nutquerschnitts [mm] |
|
|
d |
Innendurchmesser des Nutquerschnitts [mm] |
|
|
N |
Anzahl der Nuten [-] |
|
|
h |
Höhe der Nut = (D - d) / 2 [mm] |
|
|
s |
Fase |
|
|
h st |
Verbindungshöhe h st = h - 2 s [mm] |
|
|
l f |
Wirksame Federlänge [mm] |
Festigkeitskontrolle
p min ≤ p ds
p min ≤ p dh
Dabei gilt:
|
p min |
Minimaler berechneter Druck h/2 [MPa] |
|
|
p ds |
Zulässiger Druck in der Welle [MPa] |
|
|
p dh |
Zulässiger Druck in der Nabe [MPa] |
Metrische Berechnung nach CSN 01 4950
Biegespannung
Dabei gilt:
|
s sf |
Dicke des Wellenzahnfußes |
s sf = 2.17m |
|
|
h |
Zahnhöhe der Welle |
h = 1,1m -0,05 |
Zentrieren auf Zahnflanken, flacher Nutboden |
|
h = 1.28m - 0.05 |
Zentrieren auf Zahnflanken, runder Nutboden |
||
|
h = 1.2 m |
Äußeres Zentrieren |
Druck auf die tragende Fläche der Nut
Dabei gilt:
|
h n |
Tragende Höhe der Kerbverzahnung |
h n = 0.9 m - 0.05 |
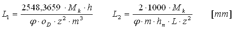
Minimale Länge der Kerbverzahnung
L min = max {L 1 , L 2 } [mm]
Dabei gilt:
Empfohlene Werte: L = (0.8 - 1.6) D
Kontrolle der Kerbverzahnung
p ≤ p d und σ≤σ d
Dabei gilt:
|
P |
Übertragene Leistung [kW] |
|
|
n |
Drehzahl [min -1 ] |
|
|
Z |
Anzahl der Zähne [-] |
|
|
p D |
Zulässiger Druck auf den Kontaktflächen der Zähne [MPa] |
|
|
σ D |
Zulässige Biegespannung [MPa] |
|
|
L |
Aktive Länge Kerbverzahnung [mm] |
|
|
D |
Nenndurchmesser der Kerbverzahnung [mm] |
|
| ϕ |
Koeffizient für zahnseitigen Kontakt |